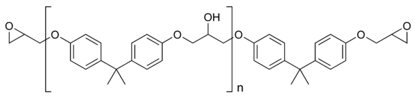
Эпоксидная смола
Эпоксидная смола — олигомеры, содержащие эпоксидные группы и способные под действием отвердителей (полиаминов и др.) образовывать сшитые полимеры. Наиболее распространённые эпоксидные смолы — продукты поликонденсации эпихлоргидрина с фенолами, чаще всего — с бисфенолом А. Смолы на основе бисфенола А часто называются эпоксидно-диановыми в честь русского химика А. П. Дианина, впервые получившего бисфенол А[1].
Свойства
Эпоксидные смолы стойки к действию галогенов, некоторых кислот (к сильным кислотам, особенно к кислотам-окислителям, имеют слабую устойчивость), щелочей, обладают высокой адгезией к металлам. Эпоксидная смола в зависимости от марки и производителя выглядит как прозрачная жидкость жёлто-оранжевого цвета, напоминающая мёд, или как коричневая твёрдая масса, напоминающая гудрон. Жидкая смола может иметь очень разный цвет — от белого и прозрачного до винно-красного (у эпоксидированного анилина).
Следующие свойства имеет чистая, немодифицированная смола без наполнителей:
- модуль упругости: ;
- предел прочности: ;
- плотность: .
Токсичность
Хотя отверждённая по правильной технологии эпоксидная смола считается[кем?] абсолютно безвредной при нормальных условиях, её применение сильно ограничено, так как при отверждении в промышленных условиях в эпоксидной смоле остаётся некоторое количество золь-фракции — растворимого остатка. Он может нанести серьёзный урон здоровью, если будет вымыт растворителями и попадёт внутрь организма. В неотверждённом виде эпоксидные смолы достаточно ядовиты и могут также навредить здоровью. Но наиболее вредны многие отвердители, в том числе наиболее широко распространенные отверждающие при комнатной температуре — аминные.[источник не указан 1769 дней]
Эпоксидные смолы мутагенны, а у отдельных компонентов некоторых смол обнаружена и канцерогенность[2][3]. Эти свойства в какой-то мере может иметь и собственно эпоксидное кольцо, так как оно способно связываться с ДНК[4]. Некоторые смолы у некоторых людей вызывают аллергию. Чаще всего наблюдаемое вредное влияние эпоксидных смол — раздражение покровов тела[5]. Они относятся к основным причинам профессионального аллергического контактного дерматита[6]. В качестве отвердителей эпоксидных смол чаще всего используют амины, которые тоже проявляют токсичность и раздражающее действие[5][3][7]. Для работы с эпоксидными смолами необходимы непроницаемые перчатки (сменяемые при загрязнении смолами, так как многие их компоненты проникают через тонкий пластик), респиратор и хорошая вентиляция. Токсичность менее вязких смол обычно выше, чем более вязких[2][4][7].
Модификация
Эпоксидные смолы поддаются модификации. Различают химическую и физическую модификацию.
Первая заключается в изменении строения сетки полимера путём добавления соединений, встраивающихся в состав оной. Как пример — добавление лапроксидов (простых полиэфиров спиртов, содержащих глицидиловые группы, например, ангидрида глицерина) в зависимости от функциональности и молекулярной массы придаёт отверждённой смоле эластичность, за счёт увеличения молекулярной массы межузлового фрагмента, но понижает её водостойкость. Добавление галоген- и фосфорорганических соединений придаёт смоле большую негорючесть. Добавление фенолформальдегидных смол позволяет отверждать эпоксидную смолу прямым нагревом без отвердителя, придаёт большую жёсткость, улучшает антифрикционные свойства, но понижает ударную вязкость[8].
Физическая модификация достигается добавлением в смолу веществ, не вступающих в химическую связь со связующим. Как пример — добавление каучука позволяет увеличить ударную вязкость отверждённой смолы. Добавление коллоидного диоксида титана увеличивает её коэффициент преломления и придаёт свойство непрозрачности к ультрафиолетовому излучению[источник не указан 3745 дней].
Получение
Впервые эпоксидная смола была получена швейцарским химиком Кастаном в 1936 году[1].
Эпоксидную смолу получают поликонденсацией эпихлоргидрина с различными органическими соединениями: от фенола до пищевых масел, например, соевого[источник не указан 3745 дней]. Такой способ носит название «эпоксидирование».
Ценные сорта эпоксидных смол получают каталитическим окислением непредельных соединений. Например, таким образом получают циклоалифатические смолы, ценные тем, что они совершенно не содержат гидроксильных групп, и поэтому очень гидроустойчивы, трекинго- и дугостойки.
Для практического применения смолы нужен отвердитель. Отвердителем может быть полифункциональный амин или ангидрид, иногда кислоты. Также применяют катализаторы отверждения — кислоты Льюиса и третичные амины, обычно блокированные комплексообразователем наподобие пиридина. После смешения с отвердителем эпоксидная смола может быть отверждена — переведена в твёрдое неплавкое и нерастворимое состояние. Если это полиэтиленполиамин (ПЭПА), то смола отвердеет за сутки при комнатной температуре. Ангидридные отвердители требуют 10 часов времени и нагрева до 180 °C в термокамере (и это ещё без учёта каскадного нагрева со 150 °C).
Применение
Из эпоксидных смол готовят различные виды клея, пластмассы, электроизоляционные лаки, текстолит (стекло- и углепластики), заливочные компаунды и пластоцементы[1].
На основе эпоксидных смол производятся различные материалы, применяемые в различных областях промышленности. Углеволокно и эпоксидная смола образуют углепластик (используется как конструктивный материал в различных областях: от авиастроения (см. Боинг-777) до автостроения). Композит на основе эпоксидных смол используется в крепёжных болтах ракет класса земля-космос.[источник не указан 2175 дней] Эпоксидная смола с кевларовым волокном — материал для создания бронежилетов.[источник не указан 2175 дней]
Зачастую эпоксидные смолы используют в качестве эпоксидного клея или пропиточного материала — вместе со стеклотканью для изготовления и ремонта различных корпусов или выполнения гидроизоляции помещений, а также как самый доступный способ изготовить в быту продукт из стекловолокнита, как сразу готовый после отливки в форму, так и с возможностью дальнейшего разрезания и шлифовки.
Из стеклоткани с эпоксидной смолой делают корпуса плавсредств, выдерживающие очень сильные удары, различные детали для автомобилей и других транспортных средств.
В качестве заливки (герметика) для различных плат, устройств и приборов.
Эпоксидные смолы — основной класс заливочных сред для просвечивающей электронной микроскопии: они хорошо сохраняют ультраструктуру объектов, легко поддаются резке, имеют малую усадку и достаточно стабильны под электронным лучом. С другой стороны, они не всегда хорошо пропитывают ткани и довольно ядовиты[2].
Также эпоксидные смолы используются в строительстве.
Из эпоксидных смол изготовляются самые различные предметы (например, мундштуки), разнообразные сувениры и украшения.
Эпоксидные смолы используют в качестве бытового клея. Использовать эпоксидный клей довольно просто. Смешивание эпоксидной смолы с отвердителем, как правило, выполняется в очень малых объёмах (несколько граммов), поэтому перемешивание производится при комнатной температуре и не вызывает затруднений, точность пропорции смола/отвердитель при смешивании зависит от производителя эпоксидной смолы или отвердителя, необходимо использовать только те пропорции, которые рекомендованы производителем, так как от этого зависит время отверждения и физические свойства получившегося продукта — отступление от нужной пропорции, как правило, приводит к изменению времени отверждения и изменению конечных свойств материала — при меньшем количестве отвердителя увеличивается время отверждения вплоть до невозможности полностью получить твёрдый материал, при большем количестве отвердителя — нагрев смеси вплоть до вспенивания и резкого отверждения и получение очень хрупкого материала.
В качестве отвердителей применяют: отвердители холодного триэтилентетрамин (ТЭТА, полиэтиленполиамин (ПЭПА, полисебациновый ангидрид и горячего отверждения малеиновый ангидрид (ДЭТА)[9][10].
Наиболее часто встречающиеся пропорции смолы по отношению к отвердителю колеблются от 1:0,4 до 1:0,1, однако встречаются и варианты 1:1, 1:0,5 и даже 1:0,05. Производители советуют использовать специальные аппараты при смешивании большого количества смолы или производить смешивание и заливку в несколько этапов. В зависимости от характеристик эпоксидной смолы, большое её количество в сочетании с отвердителем может спровоцировать вскипание смолы, появление излишнего количества пузырей[11]. Это свойство присуще эпоксидным смолам, отверждаемым аминными отвердителями, а также сильно зависит от соотношения объёма к площади поверхности отверждаемой смолы, например, 1 литр смеси смолы с отвердителем в ёмкости размером 10×10×10 см сильно разогреется и вскипит, но тот же объём смолы, нанесённый на поверхность площадью 10 квадратных метров, отвердится за стандартные 24 часа без какого-либо заметного нагрева.
| Основные области применения эпоксидных смол[12]: | ||||
|---|---|---|---|---|
| Отрасль применения | Основные виды эпоксидных материалов | Основное назначение | Преимущественные показатели | Экономический эффект применения, отнесённый к стоимости материала |
| Строительство | Полимербетоны, компаунды, клеи | Разметочные полосы дорог, плиты для полов, наливные бесшовные полы | Физико-механические показатели, износо-химстойкость, беспыльность, высокая адгезия | от 3 до 29 |
| Покрытия (лакокрасочные, порошковые, водно-дисперсионные) | Декоративно-облицовочные и защитные функции | Малая усадка, химическая стойкость | ||
| Связующие для стекло- и углепластиков | Ремонт железобетонных конструкций, дорог, аэродромов. Склеивание конструкций мостов и другого. Вытяжные трубы и ёмкости химических производств. Трубопроводы | Атмосферостойкость, химическая стойкость, прочность, теплостойкость | ||
| Электромашиностроение и радиотехника | Компаунды, связующие для армированных пластиков, покрытия, прессматериалы, пенопласты | Герметизация изделий, электроизоляционные материалы (стеклопластик и другие). Заливка трансформаторов и другого. Электроизоляционные и защитные покрытия. | Радиопрозрачность, высокие диэлектрические показатели, малая усадка при отверждении, отсутствие летучих продуктов отверждения | От 0,1 до 7,0; 300—800 (электроника) |
| Судостроение | Связующие для стеклопластиков | Судовые гребные винты, лопатки компрессоров | Прочность, кавитационная стойкость | 75 |
| Покрытия из жидких ЛКМ и порошков | Сосуды для газов и топлива | Водо-, химическая, абразивная стойкость | ||
| Синтактические пенопласты | Обтекатели гребных винтов | Ударопрочность при низких температурах | ||
| Машиностроение, в том числе автомобилестроение | Компаунды, Лакокрасочные материалы, Клеи | Ремонт и заделка дефектов литьевых изделий, формы, штампы, оснастка, инструмент (модели, копиры и так далее) | Прочность, твёрдость, износостойкость, размерная стабильность | От 3,1 до 15,0 |
| Полимербетоны | Направляющие металлорежущих станков, станины прецизионных станков | Теплостойкость, высокая адгезия к подложкам и наполнителям, функциональные и антифрикционные свойства | 320 (тяжёлые станки) | |
| Связующие для армированных пластиков | Ёмкости, трубы из стеклопластиков «мокрой» намотки | Химическая стойкость, ударопрочность | ||
| Прессматериалы и порошки | Подшипники и другие антифрикционные материалы, пружины, рессоры из эпоксидных пластиков, электропроводящие материалы | |||
| Авиа- и ракетостроение | Связующее для армированных стекло-и органопластиков | Силовые конструкции и обшивки крыльев, фюзеляжа, оперения, конусы сопел и статоры реактивных двигателей | Высокая удельная прочность и жёсткость, радиопрозрачность, абляционные свойства (теплозащитные) | |
| Покрытия защитные | Лопасти вертолёта, топливные баки ракет, корпус реактивного двигателя, баллоны для сжатых газов | Стойкость к действию топлива | ||
Химическая стойкость полиэпоксидных и эпоксидных смол
Таблица ниже описывает химическую стойкость полиэпоксидных и эпоксидных смол ко многим рабочим средам.
| Химическая стойкость полиэпоксидных и эпоксидных смол | |
|---|---|
| Химическое вещество | Химическая устойчивость |
| Азотная кислота | Неустойчивое вещество |
| Амилацетат | Отличная (при t < +22 °C) |
| Амины | Отличная (при t < +22 °C) |
| Аммиак 10 % | Отличная (при t < +22 °C) |
| Аммиак жидкий | Отличная (при t < +22 °C) |
| Анилин | Сносная (при t < +22 °C) |
| Ацетат натрия | Отличная |
| Ацетилен | Отличная |
| Ацетон | Неустойчивое вещество |
| Бензин | Отличная |
| Бензол | Отличная (при t < +22 °C) |
| Бертолетова соль | Отличная |
| Бикарбонат калия | Отличная |
| Бикарбонат натрия | Отличная |
| Бисульфат натрия | Отличная |
| Бисульфит кальция | Отличная (при t < +22 °C) |
| Борная кислота | Отличная (при t < +22 °C) |
| Бром | Неустойчивое вещество |
| Бромид калия | Отличная |
| Бромистоводородная кислота 100 % | Неустойчивое вещество |
| Бура (пироборнокислый натрий) | Отличная (при t < +22 °C) |
| Бутадиен (дивинил) | Отличная (при t < +22 °C) |
| Бутан (газ) | Отличная (при t < +22 °C) |
| Бутилацетат | Хорошая (при t < +22 °C) |
| Винная кислота | Отличная |
| Гексан | Хорошая |
| Гидравлическая жидкость | Отличная |
| Гексафторкремнекислота | Сносная |
| Гептан | Отличная |
| Гидроксид аммония | Отличная (при t < +22 °C) |
| Гидроксид бария | Отличная (при t < +22 °C) |
| Гидроксид калия | Отличная |
| Гидроксид кальция | Отличная (при t < +22 °C) |
| Гидроксид магния | Отличная |
| Гидроксид натрия, 50 % | Хорошая (при t < +50 °C) |
| Гипохлорит кальция | Отличная (при t < +22 °C) |
| Гипохлорит натрия 100 % | Неустойчивое вещество |
| Глицерин | Отличная |
| Глюкоза | Хорошая |
| Дизельное топливо | Отличная (при t < +22 °C) |
| Оксид серы(IV) | Отличная (при t < +22 °C) |
| Дистиллированная вода | Отличная |
| Дихлорэтан | Хорошая (при t < +50 °C) |
| Дихромат калия | Сносная |
| Дубильная кислота | Отличная |
| Железный купорос | Отличная (при t < +22 °C) |
| Жирные кислоты | Отличная (при t < +22 °C) |
| Гидроксид алюминия | Хорошая (при t < +22 °C) |
| Изопропиловый спирт | Отличная |
| Карбонат аммония | Отличная (при t < +22 °C) |
| Карбонат бария | Отличная (при t < +22 °C) |
| Карбонат калия | Отличная |
| Карбонат кальция | Отличная (при t < +22 °C) |
| Карбонат натрия | Сносная (при t < +22 °C) |
| Касторовое масло | Отличная |
| Керосин | Отличная |
| Ксилол | Отличная |
| Лигроин | Отличная |
| Лимонная кислота | Отличная (при t < +22 °C) |
| Малеиновая кислота | Отличная |
| Масляная кислота | Сносная (при t < +22 °C) |
| Метиловый спирт | Хорошая (при t < +22 °C) |
| Метилэтилкетон | Сносная (при t < +22 °C) |
| Молочная кислота | Хорошая (при t < +22 °C) |
| Морская (солёная) вода | Отличная |
| Моча | Отличная |
| Муравьиная кислота | Сносная (при t < +22 °C) |
| Мыло | Отличная |
| Нафталин | Отличная |
| Нитрат аммония | Отличная (при t < +22 °C) |
| Нитрат калия | Отличная |
| Нитрат магния | Отличная |
| Нитрат меди | Отличная (при t < +22 °C) |
| Нитрат натрия | Отличная |
| Нитрат серебра | Отличная |
| Олеиновая кислота | Отличная |
| Перекись водорода 10 % | Сносная (при t < +22 °C) |
| Пиво | Отличная (при t < +22 °C) |
| Пикриновая кислота | Отличная |
| Плавиковая кислота 75 % | Хорошая (при t +22 °C) |
| Пропан жидкий | Отличная |
| Реактивное топливо | Отличная |
| Ртуть | Отличная |
| Пресная вода | Отличная |
| Серная кислота 75—100 % | Сносная (при t < +22 °C) |
| Сероводород | Отличная |
| Силикат натрия | Отличная |
| Соляная кислота 20 % | Хорошая (при t < +22 °C) |
| Стеариновая кислота | Хорошая |
| Сульфат алюминия | Отличная (при t < +22 °C) |
| Сульфат аммония | Отличная (при t < +22 °C) |
| Сульфат бария | Сносная (при t < +22 °C) |
| Сульфат железа | Отличная (при t < +22 °C) |
| Сульфат калия | Отличная |
| Сульфат кальция | Отличная (при t < +22 °C) |
| Сульфат магния | Отличная |
| Сульфат натрия | Отличная |
| Сульфат никеля | Отличная |
| Сульфид бария | Хорошая (при t < +22 °C) |
| Сульфит натрия | Отличная |
| Терпентин | Хорошая |
| Тетрахлорид углерода | Отличная (при t < +22 °C) |
| Тиосульфат натрия | Отличная |
| Толуол | Хорошая (при t < +22 °C) |
| Углекислота | Хорошая (при t < +22 °C) |
| Углекислый газ | Отличная (при t < +22 °C) |
| Углекислый магний | Отличная |
| Уксус | Отличная |
| Уксусная кислота, 20 % | Отличная |
| Уксуснокислый свинец | Отличная |
| Фенол (оксибензол) | Хорошая |
| Формальдегид 40 % | Отличная (при t < +22 °C) |
| Фосфат аммония | Отличная (при t < +22 °C) |
| Фосфорная кислота | Хорошая |
| Фреон | Отличная |
| Фторид алюминия | Хорошая (при t < +22 °C) |
| Фтор газообразный | Неустойчивое вещество |
| Фтористый натрий | Отличная |
| Хлорид алюминия | Отличная (при t < +22 °C) |
| Хлорид аммония | Отличная (при t < +22 °C) |
| Хлорид бария | Отличная (при t < +22 °C) |
| Хлорид железа | Отличная (при t < +22 °C) |
| Хлорид калия | Отличная |
| Хлорид кальция | Отличная (при t < +22 °C) |
| Хлорид магния | Отличная |
| Хлорид меди | Отличная |
| Хлорид натрия | Отличная |
| Хлорид никеля | Отличная |
| Хлорид цинка | Отличная |
| Хлористое железо | Отличная (при t < +22 °C) |
| Хлористое олово | Отличная |
| Цианид натрия | Отличная |
| Цианистый водород | Отличная |
| Щавелевая кислота | Отличная |
| Этилацетат | Сносная (при t < +22 °C) |
| Этиленгликоль | Сносная (при t < +22 °C) |
| Этиловый спирт | Отличная (при t < +50 °C) |
| Этилхлорид | Отличная (при t < +22 °C) |
См. также
Примечания
Литература
- Методические указания к курсу «Высокомолекулярные соединения». Учебное пособие / сост.: Собанов А. А., Курамшин А. И., Бурнаева Л. М. и др.. — Казань: Изд-во КазГУ, 2000. — С. 26—27. — 42 с.


