Малеиновая кислота

Малеи́новая кислота́ — органическое соединение с формулой HOOC-CH=CH-COOH. Двухосновная непредельная кислота.

Название по номенклатуре IUPAC — цис-бутендиовая кислота. Её транс-изомер называется фумаровой кислотой.

Соли и сложные эфиры малеиновой кислоты называются малеаты.

Наиболее часто она используется для получения фумаровой кислоты.

Общие сведения
Малеиновая кислота
Общие
Систематическое
наименование
цис-​бутендиовая кислота
Традиционные названия малеиновая кислота
Хим. формула HOOC-CH=CH-COOH
Рац. формула H4C4O4
Физические свойства
Состояние твёрдое
Молярная масса 116,07 г/моль
Плотность 1,59 г/см³
Термические свойства
Температура
 • плавления 135 °C
 • разложения 135 °C
 • вспышки 127 °C
Химические свойства
Константа диссоциации кислоты pka1 = 1,9
pka2 = 6,07
Растворимость
 • в воде 78,8 г/100 мл
Классификация
Рег. номер CAS 110-16-7
3D model (JSmol) Интерактивная схема
PubChem
UNII
CompTox Dashboard EPA
Рег. номер EINECS 203-742-5
SMILES
InChI
RTECS OM9625000
ChEBI
ChemSpider
ECHA InfoCard
Безопасность
NFPA 704
Огнеопасность 0: Негорючее веществоОпасность для здоровья 3: Кратковременное воздействие может привести к серьёзным временным или умеренным остаточным последствиям (например, хлор, серная кислота)Реакционноспособность 0: Стабильно даже при действии открытого пламени и не реагирует с водой (например, гелий)Специальный код: отсутствуетNFPA 704 four-colored diamond
0
3
0

Физические свойства

Молекула малеиновой кислоты менее стабильна, чем фумаровой кислоты. Разница их теплоты сгорания равна 22,7 кДж/моль[1].

Малеиновая кислота хорошо растворима в воде (78,8 г/л при 25 °C), а фумаровая кислота — плохо (6,3 г/л при 25 °C). Эти свойства объясняются образованием внутримолекулярной водородной связи в молекуле малеиновой кислоты.

История и методы синтеза

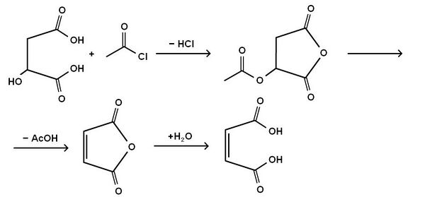
Малеиновая кислота впервые была получена Лассэнем в 1819 г. перегонкой яблочной кислоты. По Перкину (1881 г.), для её получения яблочную кислоту обрабатывают ацетилхлоридом, получая ацетил-яблочный ангидрид, который разлагается с образованием уксусной кислоты и малеинового ангидрида, гидратацией которого получают малеиновую кислоту.

Общая схема процесса:

Схема процесса

Производство в промышленности

В промышленности малеиновую кислоту получают гидролизом малеинового ангидрида, который получают каталитическим окислением бензола по схеме:

Производство малеиновой кислоты

Применение в промышленности

Наиболее важным применением малеиновой кислоты является использование её в производстве фумаровой кислоты. Для производства фумаровой кислоты малеиновою кислоту каталитически (катализаторы — тиомочевина, неорганические кислоты) изомеризуют. Очень малая растворимость фумаровой кислоты сильно упрощает её отделение от непрореагировавшей малеиновой кислоты. Эти кислоты являются геометрическими изомерами, они не могут самопроизвольно превращаться одна в другую. Это объясняется тем, что для их взаимопревращение нужно разорвать π связь между атомами углерода. Путём озонолиза малеиновую кислоту превращают в глиоксиловую кислоту.

Другие реакции

Малеиновою кислоту можно превратить в яблочную кислоту путём гидратации, в янтарную кислоту путём гидрирования или электрохимического восстановления на катоде из нержавеющей стали, в малеиновый ангидрид путём дегидратации. Вышеперечисленные реакции не используются в промышленности для производства перечисленных веществ, потому что они являются экономически невыгодными.

Ссылки