Винная кислота
Ви́нная кислота́ (виннокаменная кислота, кислота, тартаровая кислота, 2,3-дигидроксибутандиовая кислота) — двухосновная гидроксикислота. Соли и анионы винной кислоты называют тартратами.
Что важно знать
| Винная кислота | |
|---|---|
| Общие | |
| Традиционные названия | Винная кислота |
| Хим. формула | НООССН(ОН)СН(ОН)СООH |
| Физические свойства | |
| Молярная масса | 150,1 г/моль |
| Плотность | |
| Термические свойства | |
| Температура | |
| • плавления |
|
| Химические свойства | |
| Константа диссоциации кислоты |
при 25 °C: D,L- pKa1 = 2,95, pKa2=4,25 мезо- pKa1 = 3,22 pKa2=4,85 |
| Растворимость | |
| • в воде | 139,44 г/100 мл |
| Классификация | |
| Рег. номер CAS |
87-69-4 L-(+), |
| 3D model (JSmol) | Интерактивная схема |
| PubChem | 875 |
| UNII | JQO211TF1A |
| CompTox Dashboard EPA | DTXSID5046986 |
| Рег. номер EINECS | 610-885-0 |
| SMILES | |
| InChI | |
| Кодекс Алиментариус | E334 |
| ChEBI | 15674 |
| ChemSpider | 852 |
| ECHA InfoCard | 100.121.903 |
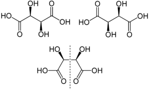
Изомерия
Известны три стереоизомерные формы винной кислоты: D-(−)-энантиомер (слева вверху), L-(+)-энантиомер (справа вверху) и мезо-форма (мезовинная кислота):
Рацемическая смесь энантиомерных винных кислот известна как виноградная кислота.
Получение
Винная кислота — распространённое природное соединение. В значительном количестве она содержится в кислом соке многих фруктов, например, в виноградном соке. D-винную кислоту получают действием минеральных кислот на её кислую калиевую соль (винный камень), образующуюся при брожении виноградного сока. При пиролизе D-винная кислота декарбоксилируется с образованием пировиноградной и пировинной (метилянтарной) кислот. Она восстанавливается до янтарной кислоты, восстанавливает аммиачный раствор до ; в щелочной среде растворяет с образованием прозрачного ярко-синего раствора — реактива Фелинга.
Применение
Применяется в пищевой промышленности (пищевая добавка Е334), в медицине, в аналитической химии для обнаружения альдегидов, сахаров и др., в химической и фармакологической промышленности для разделения рацематов органических веществ на изомеры. Соли винной кислоты (тартраты) используются в медицине, при крашении тканей и др.


