Статистика Ферми — Дирака
Стати́стика Фе́рми — Дира́ка — квантовая статистика, применяемая к системам тождественных фермионов (частиц с полуцелым спином, подчиняющихся принципу Паули: одно квантовое состояние не может быть занято более чем одной частицей). Определяет вероятность, с которой данный энергетический уровень системы, находящейся в термодинамическом равновесии, оказывается занятым фермионом[1].
Общие положения
В статистике Ферми — Дирака среднее число частиц с энергией равно:
- ,
где — кратность вырождения (число состояний частицы с энергией ), — химический потенциал (при нуле температуры равен энергии Ферми ), — постоянная Больцмана, — абсолютная температура.
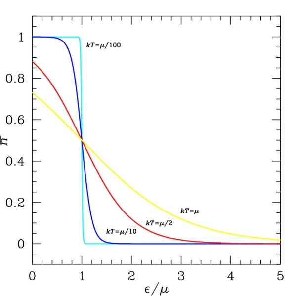
В идеальном ферми-газе при низких температурах . В этом случае, если , функция числа (доли) заполнения уровней частицами называется функцией Ферми:
Указанная статистика предложена в 1926 году итальянским физиком Энрико Ферми и одновременно английским физиком Полем Дираком, который выяснил её квантово-механический смысл. В 1927 статистика была применена Арнольдом Зоммерфельдом к электронам в металле.
Свойства статистики Ферми — Дирака
Функция Ферми — Дирака обладает следующими свойствами:
- безразмерна;
- принимает вещественные значения в диапазоне от 0 до 1;
- убывает с энергией, резко спадая вблизи энергии, равной химическому потенциалу;
- при абсолютном нуле имеет вид ступеньки со скачком от 1 до 0 при , а при подъёме температуры скачок заменяется всё более плавным спадом;
- при всегда независимо от температуры.
Математический и физический смысл
Функцией Ферми — Дирака задаются числа заполнения (англ. occupancy factor) квантовых состояний. Хотя она нередко называется «распределением», с точки зрения аппарата теории вероятностей она не является ни функцией распределения, ни плотностью распределения. В отношении этой функции не может ставиться вопрос о нормировке.
Сообщая информацию о проценте заполненности состояний, функция ничего не говорит о наличии этих состояний. Для систем с наборами дискретных энергий совокупность их возможных значений задаётся перечнем , и т. д., а для систем с непрерывным спектром энергий состояния характеризуются «плотностью состояний» (Дж−1 или Дж−1м−3). Функция вида
является плотностью распределения (Дж−1) частиц по энергии и нормирована. Для краткости, аргумент опущен. В наиболее традиционных случаях .
Классический (максвелловский) предел
При высоких температурах и/или низких концентрациях частиц статистика Ферми — Дирака (равно как и статистика Бозе — Эйнштейна) переходят в статистику Максвелла — Больцмана. А именно, в таких условиях
- .
После подстановки плотности состояний и интегрирования по от 0 до выражение для примет вид:
- .
Это и есть плотность распределения Максвелла (по энергиям).
Распределением Максвелла (особенно хорошо работающим применительно к газам) описываются классические «различимые» частицы. Другими словами, конфигурации «частица в состоянии 1 и частица в состоянии 2» и «частица в состоянии 1 и частица в состоянии 2» считаются разными[2].
Применение статистики Ферми — Дирака
Статистики Ферми — Дирака, а также Бозе — Эйнштейна применяются в случаях, когда необходимо учитывать квантовые эффекты и «неразличимость» частиц. В парадигме различимости оказалось, что распределение частиц по энергетическим состояниям приводит к нефизическим результатам для энтропии, что известно как парадокс Гиббса. Эта проблема исчезла, когда стало ясно, что все частицы в системе неразличимы.
Статистика Ферми — Дирака относится к фермионам (частицы, на которые действует принцип Паули), а статистика Бозе — Эйнштейна — к бозонам. Квантовые эффекты проявляются тогда, когда концентрация частиц (где — число частиц, — объём, — квантовая концентрация). Квантовой называется концентрация, при которой расстояние между частицами соразмерно с длиной волны де Бройля, то есть волновые функции частиц соприкасаются, но не перекрываются. Квантовая концентрация зависит от температуры.
Статистика Ферми — Дирака часто используется для описания поведения ансамбля электронов в твёрдых телах; на ней базируются многие положения теории полупроводников и электроники в целом. Например, концентрация электронов (дырок) в зоне проводимости (валентной зоне) полупроводника в равновесии рассчитывается как
- ,
где () — энергия дна зоны проводимости (потолка валентной зоны). Формула для туннельного тока между двумя областями, разделёнными квантовым потенциальным барьером, имеет общий вид
- ,
где — коэффициент прозрачности барьера, а , — функции Ферми — Дирака в областях слева и справа от барьера.
Вывод распределения Ферми — Дирака
Рассмотрим состояние частицы в системе, состоящей из множества частиц. Пусть энергия такой частицы равна . Например, если наша система — это некий квантовый газ в «ящике», то подобное состояние может описываться частной волновой функцией. Известно, что для большого канонического ансамбля, функция распределения имеет вид
где — энергия состояния , — число частиц, находящихся в состоянии , — химический потенциал, — индекс, пробегающий все возможные микросостояния системы.
В данном контексте система имеет фиксированные состояния. Если какое либо состояние занято частицами, то энергия системы — . Если состояние свободно, энергия имеет значение 0. Будем рассматривать равновесные одночастичные состояния как резервуар. После того, как система и резервуар займут одно и то же физическое пространство, начинает происходить обмен частицами между двумя состояниями (фактически, это явление мы и исследуем). Отсюда становится ясно, почему используется описанная выше функция распределения, которая, через химический потенциал, учитывает поток частиц между системой и резервуаром.
Для фермионов каждое состояние может быть либо занято одной частицей, либо свободно. Поэтому данная система имеет два множества: занятых (одной частицей) и незанятых состояний, обозначающихся и соответственно. Видно, что , , и , . Поэтому функция распределения принимает вид:
Для большого канонического ансамбля, вероятность того, что система находится в микросостоянии , вычисляется по формуле:
Наличие состояния, занятого частицей, означает, что система находится в микросостоянии , вероятность которого равна
- ,
а называется распределением Ферми — Дирака. Для фиксированной температуры , есть вероятность того, что состояние с энергией будет занято фермионом.
Учтём, что энергетический уровень имеет вырождение . Тогда можно произвести простую модификацию:
Здесь — ожидаемая доля частиц во всех состояниях с энергией .
Уточнение влияния температуры
Для систем, имеющих температуру ниже температуры Ферми , а иногда (не вполне правомерно) и для более высоких температур используется аппроксимация . Но в общем случае химический потенциал зависит от температуры — и в ряде задач эту зависимость целесообразно учитывать. Функция представляется с любой точностью степенным рядом по чётным степеням отношения :
- .
Примечания
Литература
- Румер Ю. Б. Термодинамика, статистическая физика и кинетика : учебное пособие для студентов. — Новосибирск : Издательство Новосибирского университета, 2000.
- Леонтович М. А. Введение в термодинамику. Статистическая физика. 2-е изд., стер. — СПб., : Лань, 2008.


