Бензойная кислота
Бензо́йная кислота́ (химическая формула — C7H6O2 или C6H5СООН) — cлабая химическая органическая кислота, относящаяся к классу карбоновых кислот ароматического ряда.
При стандартных условиях, бензойная кислота — это простейшая одноосновная карбоновая кислота, представляющая собой твёрдое кристаллическое вещество белого цвета.
Соли и сложные эфиры бензойной кислоты называются бензоа́тами.
Зарегистрирована в качестве пищевой добавки и консерванта с номером Е210.
Общие сведения
| Бензойная кислота | |
|---|---|
| Общие | |
| Систематическое наименование |
Бензойная кислота |
| Традиционные названия | Бензойная кислота |
| Хим. формула | C6H5COOH |
| Рац. формула | C7H6O2 |
| Физические свойства | |
| Состояние | Твёрдое |
| Молярная масса | 122.12 г/моль |
| Плотность | 1.32 г/см³ |
| Термические свойства | |
| Температура | |
| • плавления | 122.4 °C |
| • кипения | 249.2 °C |
| • разложения | 370 °C |
| • вспышки | 121[1] |
| • самовоспламенения | 570[1] |
| Удельная теплота испарения | 527 Дж/кг |
| Удельная теплота плавления | 18 Дж/кг |
| Химические свойства | |
| Константа диссоциации кислоты | 4.20 |
| Растворимость | |
| • в воде | 0,29 г/100 мл |
| Оптические свойства | |
| Показатель преломления | 1,504[2] |
| Структура | |
| Дипольный момент | 1.72 Д |
| Классификация | |
| Рег. номер CAS | 65-85-0 |
| 3D model (JSmol) | Интерактивная схема |
| PubChem | 243 |
| UNII | 8SKN0B0MIM |
| CompTox Dashboard EPA | DTXSID6020143 |
| Рег. номер EINECS | 200-618-2 |
| SMILES | |
| InChI | |
| Кодекс Алиментариус | E210 |
| RTECS | DG0875000 |
| ChEBI | 30746 |
| ChemSpider | 238 |
| ECHA InfoCard | 100.000.562 |
| Безопасность | |
| Токсичность | LD50 500 mg·kg−1 |
| Пиктограммы СГС |
|
| NFPA 704 | |
История
Впервые выделена возгонкой в 16 веке из бензойной смолы (росного ладана), отсюда и получила своё название. Этот процесс был описан у Нострадамуса (1556), а затем у Жироламо Рушелли (1560, под псевдонимом Alexius Pedemontanus) и у Блеза де Виженера (1596).
В 1832 году немецкий химик Юстус фон Либих определил структуру бензойной кислоты. Он также исследовал, как она связана с гиппуровой кислотой.
В 1875 немецкий физиолог Эрнст Леопольд Зальковский исследовал противогрибковые свойства бензойной кислоты, которая долгое время использовалась в консервировании фруктов.
Физические свойства
Бензойная кислота — белые кристаллы, плохо растворимые в воде, хорошо — в этаноле, хлороформе и диэтиловом эфире. Бензойная кислота является, подобно большинству других органических кислот, слабой кислотой (pKa 4,21).
Чистая кислота имеет температуру плавления — 122,4 °C, температуру кипения — 249 °C.
Легко возгоняется; перегоняется с водяным паром, поэтому неэффективно повышать концентрацию водных растворов бензойной кислоты упариванием раствора.
Получение
Бензойную кислоту можно получить окислением толуола сильными окислителями, такими, например, как перманганат калия, оксид хрома (VI), азотная или хромовая кислота, а также декарбоксилированием фталевой кислоты.
В промышленных масштабах бензойную кислоту получают окислением толуола кислородом на катализаторе (нафтената марганца или кобальта).
Лабораторный синтез и очистка
Химический продукт — бензойная кислота — дешёв и легкодоступен. Поэтому к лабораторному синтезу профессиональные химики прибегают редко.
Демонстрационный синтез осуществляется в учебных целях.
Очистку бензойной кислоты удобно проводить перекристаллизацией из растворителя, обычно, из воды. Другие растворители, пригодные для перекристаллизации: уксусная кислота (ледяная и водный раствор), бензол, ацетон, петролейный эфир и смесь этанола с водой.
Бензамид и бензонитрил гидролизуются в воде в присутствии кислоты или основания до бензойной кислоты.
Бензальдегид в основной среде претерпевает преобразование по реакции Канниццаро. В итоге получается бензойная кислота и бензиловый спирт.
Из бромбензола по реакции карбоксилирования фенилмагнийбромида.
Толуол или бензиловый спирт могут быть окислены подкисленным раствором перманганата калия до бензойной кислоты:
История получения
Первый производственный процесс включал в себя гидролиз бензолтрихлорида под действием гидроксида кальция в воде в присутствии железа или его солей в качестве катализатора. Образующийся бензоат кальция переводили в бензойную кислоту обработкой соляной кислотой. Продукт содержал значительное количество хлорпроизводных бензойной кислоты, поэтому не использовался в качестве пищевой добавки. В настоящее время в пищу используется бензойная кислота, получаемая синтетически.
Применение
Бензойная кислота используется как вещество в качестве теплового стандарта для калибровки калориметров по температуре и теплоёмкости, так как теплота кристаллизации и плавления хорошо известны и воспроизводимы.
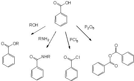
Бензойная кислота служит для получения многих реактивов, наиболее значимые из них:
- Бензоилхлорид, C6H5C(O)Cl, получается обработкой бензойной кислоты тионилхлоридом, фосгеном или хлоридами фосфора PCl3 и PCl5. C6H5C(O)Cl — важное исходное вещество для некоторых производных бензойной кислоты, таких как бензилбензоат, используемый как искусственный ароматизатор и репеллент.
- Бензоатные пластификаторы, такие как гликоль-, диэтиленгликоль- и триэтиленгликолевые эфиры, получаемые переэтерефикацией метилбензоата с соответствующим диолом. Альтернативно эти вещества получаются действием бензоилхлорида на соответствующий диол. Эти пластификаторы используются с соответствующими эфирами терефталевой кислоты.
- Фенол, C6H5OH, получаемый окислительным декарбоксилированием при 300—400 °C. Необходимая температура может быть понижена до 200 °C добавлением каталитических количеств солей меди (II). Далее фенол может быть конвертирован в циклогексанол, который служит исходным веществом в синтезе нейлона.
Бензойную кислоту и её соли используют при консервировании пищевых продуктов (пищевые добавки E210, E211, E212, E213).
Бензойная кислота, блокируя ферменты, замедляет обмен веществ во многих одноклеточных микроорганизмах и грибках. Она подавляет рост плесени, дрожжей и некоторых бактерий.
В пищевые продукты её добавляют в чистом виде или в виде натриевой, калиевой или кальциевой соли.
Губительное действие на микрофлору начинается с абсорбции бензойной кислоты липидной стенкой клетки.
Поскольку через стенку клетки может проникнуть только недиссоциированная кислота, бензойная кислота проявляет антимикробное действие только в кислых пищевых продуктах.
Если внутриклеточный pH 5 или меньше, анаэробная ферментация глюкозы через фосфорфруктокиназу уменьшается на 95 %. Эффективность бензойной кислоты и бензоатов зависит от кислотности (pH) пищи.
Кислая пища, напитки, такие, как фруктовые соки, (содержащие лимонную кислоту), газированные напитки, содержащие в растворе (углекислый газ), безалкогольные напитки с (фосфорной кислотой), соленья (молочная кислота) и другие кислые пищевые продукты консервируются бензойной кислотой и её солями.
Принятые и оптимальные концентрации бензойной кислоты при консервации пищи 0,05—0,1 %.
Бензойную кислоту применяют в медицине при кожных заболеваниях, как наружное антисептическое (противомикробное) и фунгицидное (противогрибковое) средства, при трихофитиях и микозах, а её натриевую соль, — бензоат натрия — как отхаркивающее средство.
Эфиры бензойной кислоты (со спиртами от метилового до амилового) обладают сильным и приятным запахом и применяются в парфюмерной промышленности.
Некоторые другие производные бензойной кислоты, такие как, например, хлор- и нитробензойные кислоты, широко применяются для синтеза красителей.
Биологическое действие
Бензойная кислота в свободном виде и виде сложных эфиров встречается в составе многих растений и животных. Значительное количество бензойной кислоты находится в ягодах (около 0,05 %). Зрелые плоды некоторых видов вакциниума содержат большое количество свободной бензойной кислоты. Например, в бруснике до 0,20 % в спелых ягодах, а в клюкве — до 0,063 %. Бензойная кислота образуется в яблоках после заражения грибком Nectria galligena. Среди животных бензойная кислота обнаружена в основном во всеядных или фитофагных видах, например, во внутренних органах и мускулах тундряной куропатки (Lagopus muta), а также в выделениях самцов овцебыка или азиатского слона.
Бензойная смола содержит до 20 % бензойной кислоты и 40 % бензойных эфиров.
Бензойная кислота присутствует как часть гиппуровой кислоты (N-бензоилглицин) в моче млекопитающих, особенно травоядных животных.
Электрофильное ароматическое замещение происходит по 3-му положению из-за электроноакцепторных свойств карбоксильной группы. Второе замещение происходит сложнее (правая часть) благодаря деактивации нитрогруппой. Наоборот, при введении электронодонорного заместителя (например, алкила), второе замещение происходит легче.
Все реакции, характерные для карбоксильной группы, возможны с бензойной кислотой:
- Эфиры бензойной кислоты — продукты кислотнокатализируемой реакции со спиртами
- Амиды бензойной кислоты легко доступны, используя для их синтеза активированные производные(такие как бензоилхлорид), или сочетающие реагенты используемые в пептидном синтезе такие как ДЦГК и ДМАП.
- Более активный бензойный ангидрид образуется при дегидратации уксусным ангидридом или оксидом фосфора
- Высокоактивные галогенангидриды легко получаются действием хлоридом фосфора(V) или тионилхлорида
- Ортоэфиры могут быть получены в сухих условиях реакцией бензонитрила в кислой среде со спиртами
- Восстановление до бензальдегида или бензилового спирта возможно при использовании LiAlH4 или борогидрида натрия
- Декарбоксилирование серебряной соли может быть проведено при нагревании, бензойная кислота может быть декарбоксилирована при нагревании с сухими щёлочами или гидроксидом кальция.
- Бензойная кислота образует соли
Безопасность
Согласно многочисленным исследованиям, бензойная кислота, её соли и сложные эфиры признаны безопасными для человека в случае адекватного уровня потребления[3][4][5]. Бензойная кислота хорошо всасывается, через коэнзим А связывается с аминокислотой глицином в гиппуровую кислоту и в таком виде выводится через почки. Человек выделяет около 0,44 г/л гиппуровой кислоты в день в моче и больше, если находится в контакте с толуолом или бензойной кислотой. Кошки имеют гораздо более низкую толерантность к бензойной кислоте, чем мыши и крысы[6]. Летальная доза для кошек — 300 мг/кг массы тела. Оральная ЛД50 для крыс 3040 мг/кг, для мышей 1940—2260 мг/кг.
Международная программа химической безопасности, изучая вопрос токсичности бензойной кислоты и её солей, не выявила каких-либо побочных эффектов у людей в дозах 647-825 мг/кг массы тела в сутки[3]. Управление по санитарному надзору за качеством пищевых продуктов и медикаментов (FDA) считает бензойную кислоту как «общепризнанную безопасную» (GRAS) в США в качестве противомикробного средства, ароматизатора и пищевой добавки в продуктах питания с максимальным уровнем использования в 0,1 %[7]. Её также можно безопасно использовать в кормах для животных в качестве консерванта или подкислителя[8]. В 1996 году Объединённый экспертный комитет ФАО/ВОЗ по пищевым добавкам (JECFA) установил допустимое суточное потребление (ДСП) для бензойной кислоты в количестве 5 мг/кг массы тела[5]. В 2021 году, проведя переоценку безопасности, JECFA изменил это количество, повысив значение ДСП до 20 мг/кг массы тела[5]. Бензойная кислота (E210) указана в Постановлении Комиссии (ЕС) № 231/2012 в качестве разрешённой пищевой добавки и отнесена к категории «Добавки, отличные от красителей и подсластителей»[9]. В 2016 году, Европейское агентство по безопасности продуктов питания (EFSA), проводя свою переоценку безопасности, установило ДСП для Е210 в количестве 5 мг/кг массы тела[4].
Бензойная кислота может вызвать аллергические реакции: симптомы раздражения, такие как сыпь, покраснение или чувство жжения при попадании в глаза и на кожу, а также при вдыхании[10]. В отличие от бензоата натрия (Е211) и бензоата калия (Е212), бензойная кислота не упоминается FDA как вещество, которое может превращаться в бензол при определённых обстоятельствах[11]. Бензойная кислота также не подозревается в гиперактивном поведении детей, в отличие от Е211[12].
Производные
- 2,3-дигидроксибензойная кислота (пирокатехиновая кислота)
- 2,4-дигидроксибензойная кислота (бета-резорциловая кислота)
- 2,5-дигидроксибензойная кислота (гентизиновая кислота)
- 2,6-дигидроксибензойная кислота (гамма-резорциловая кислота)
- 3,4-дигидроксибензойная кислота (протокатехиновая кислота)
- 3,5-дигидроксибензойная кислота (альфа-резорциловая кислота)
- 3-нитробензойная кислота
- 3,5-динитробензойная кислота
- Толуиловые кислоты
Соли бензойной кислоты называются бензоатами, например:
Примечания
- Химическая энциклопедия / Редкол.: Кнунянц И.Л. и др.. — М.: Советская энциклопедия, 1988. — Т. 1 (Абл-Дар). — 623 с.
- Бензойная кислота // Энциклопедический словарь Брокгауза и Ефрона : в 86 т. (82 т. и 4 доп.). — СПб., 1890—1907.
Ссылки
- Елена Шаталова. "Среда обитания". "Продукты вечной молодости". — Программа Первого канала. Дата обращения: 22 ноября 2011. Архивировано из оригинала 21 ноября 2011 года.
- https://web.archive.org/web/20130423163348/http://www.nordspb.ru/benzoesaure

