Амфетамин
Амфетами́н (сокр. от α-метилфенилэтилами́н) — синтетический стимулятор центральной нервной системы, психоактивное вещество, способное вызывать наркотическую зависимость.
Механизм действия основан на выбросе нейромедиаторов (дофамина, норадреналина и серотонина). Оборот амфетамина ограничен международным и национальными законодательствами.
Что важно знать
| Амфетамин | |
|---|---|
| Химическое соединение | |
| ИЮПАК | (±)-1-фенилпропан-2-амин |
| Брутто-формула | C9H13N |
| Молярная масса | 135,2062 |
| CAS | 300-62-9 |
| PubChem | 3007 |
| DrugBank | DB00182 |
| Состав | |
| Классификация | |
| Фармакол. группа | Психостимуляторы |
| АТХ | N06BA01 |
| МКБ-10 | F90.0, G47.4 |
| Фармакокинетика | |
| Биодоступн. | Перорально: 67,2±3 % |
| Связывание с белками плазмы | 15-40 % |
| Метаболизм | Печень (CYP2D6, CYP3A4, CYP1A2) |
| Период полувывед. | 8-30 ч, зависит от pH урины |
| Экскреция | Почки, значительная часть в неизменном виде |
| Лекарственные формы | |
|
В медицине: таблетки, капсулы с пролонгированным действием; нелегально: порошок, таблетки |
|
История
Впервые амфетамин был синтезирован в 1887 году в Германии в виде рацемической смеси румынским химиком Лазэром Еделяну. Вещество привлекло к себе внимание в 1920-е годы в качестве заменителя эфедрина. Психоактивные свойства амфетамина были обнаружены американским биохимиком Гордоном Аллесом в 1929 году. В 1932 году компания Smith, Kline & French (ныне подразделение GlaxoSmithKline) начала продажу амфетамина в форме основания для использования в качестве антиконгестанта под торговым названием «Бензедрин» (англ. Benzedrine). В 1937 году в продажу поступили соли амфетамина в виде таблеток, рекламируемые как средство для лечения нарколепсии, болезни Паркинсона, депрессии, а также как средство для похудения. Случаи рекреационного использования амфетамина были описаны уже в 1936 году[1][2][3].
Во время Второй мировой войны США и Великобритания снабжали своих военнослужащих амфетамином в таблетках (армии Германии и Японии использовали метамфетамин)[2].
Вред от употребления амфетамина стал очевиден уже к началу 1960-х годов. Случаи «амфетаминовых психозов» с характерными параноидными симптомами регистрировались ещё в 1930-х годах, а уже в 1958 году была убедительно доказана связь этих симптомов с приёмом препарата. Примерно в это же время стало понятно, что амфетамин способен вызывать сильную зависимость.
В 1970 году власти США внесли амфетамин в перечень контролируемых веществ, а в 1971 году ООН была принята международная Конвенция о психотропных веществах, предметом регулирования которой был в том числе и амфетамин. К концу 1970-х годов потребление амфетамина в США пошло на убыль. Потребление амфетамина в Европе также упало[2][3].
Химические свойства
Свободное основание амфетамина — бесцветная летучая маслянистая жидкость с характерным «рыбным» запахом, плохо растворимая в воде, хорошо растворимая в органических растворителях, температура кипения 200—203 °C[4][5][6].
Амфетамин обычно встречается в виде солей, хорошо растворимых в воде: сульфата, фосфата и гидрохлорида. Наиболее распространённая соль, сульфат амфетамина, представляет собой белый порошок с температурой плавления 280—281 °C. Сульфат декстроамфетамина разлагается при 300 °C[4][5][7].
Растворимость амфетамина и его солей в различных растворителях[7]:
| Растворитель | Основание | Сульфат | Фосфат | Гидрохлорид |
|---|---|---|---|---|
| Вода | плохо | хорошо | хорошо | хорошо |
| Метанол, этанол | хорошо | плохо | плохо | хорошо |
| Диэтиловый эфир | хорошо | нет | нет | нет |
| Хлороформ | хорошо | нет | нет | хорошо |
Амфетамин существует в виде пары энантиомеров: правовращающего (S-(+)-амфетамин, декстроамфетамин) и левовращающего (R-(−)-амфетамин, левамфетамин). Биологическая активность изомеров различается: правовращающий изомер действует на ЦНС в 3-4 раза сильнее левовращающего. Влияние на симпатическую нервную систему, напротив, выше у левовращающего изомера[8][9].
Механизм действия
Действие амфетамина основано на увеличении выброса катехоламинов, в особенности дофамина и норадреналина, из пресинаптических окончаний. При нормальной работе дофаминергического синапса выброс дофамина в синаптическую щель осуществляется посредством экзоцитоза везикул, содержащих дофамин. После этого происходит обратный захват дофамина в клетку: транспортер DAT (дофаминный транспортер) перемещает дофамин из синаптической щели в цитоплазму, а транспортер VMAT (везикулярный транспортер моноаминов) — из цитоплазмы в везикулу. При проникновении в клетку амфетамина транспортеры начинают работать в противоположном направлении, перемещая дофамин из везикулы в цитоплазму и далее в синаптическую щель. В результате концентрация дофамина в синаптической щели возрастает, хотя обычный (везикулярный) механизм выброса нейромедиатора уменьшается[10][11].
Воздействие амфетамина на организм связано с выбросом дофамина и норадреналина как в центральной, так и в периферической нервных системах[10].
Передозировка амфетамина опасна прежде всего для сердечно-сосудистой системы. Вызываемые амфетамином тахикардия, повышенное артериальное давление и спазм сосудов могут привести к ишемическому инсульту, субарахноидальному кровоизлиянию, инфаркту миокарда, расслоению аорты. Другими опасными для жизни последствиями передозировки могут являться метаболический ацидоз, рабдомиолиз, острая почечная недостаточность и коагулопатия[10].
Основным средством, применяемым при передозировке амфетамина, являются бензодиазепины. Также могут применяться барбитураты и пропофол для снятия конвульсий, адреноблокаторы и сосудорасширяющие средства для снижения артериального давления. Для снижения температуры тела возможно применение внешнего охлаждения[10].
При употреблении амфетамина развивается толерантность, в связи с чем принимающие амфетамин вынуждены постоянно увеличивать дозу, доходя до 250—1000 мг амфетамина ежедневно[9]. Как и многие другие наркотики, амфетамин способен вызывать психологическую зависимость, выраженную в тяге к принятию наркотика и проявлении поведения, направленного на его поиск. Формирование психологической зависимости от амфетамина связано с действием на дофаминергические нейроны в вентральной области покрышки и Nucleus accumbens, которые отвечают за обучение и позитивное подкрепление[9][12].
Вопрос существования физической зависимости от амфетамина неоднозначен. Резкая отмена препарата после длительного применения (или применения в течение нескольких дней в высоких дозах) вызывает усталость, сонливость, голод и депрессию такой степени, что существует реальный риск самоубийства. Эти симптомы могут считаться составляющими синдрома отмены или просто следствиями постоянной нехватки сна и пищи, которые сопутствуют регулярному употреблению амфетамина[9].
Синдром отмены, обычно проявляется в течение 24 часов после последнего употребления амфетамина, причем абстинентный синдром включает две общие фазы, которые могут длиться 3 недели и более. Первая фаза этого синдрома — острая, которая проходит в течение недели. Вторая фаза — «подострая», которую характеризует затяжной набор абстинентных симптомов, которые обычно проходят через 3 недели (включают продолжающиеся нарушения сна (легкая гиперсомния или бессонница), повышенный аппетит). Хотя наиболее тяжелые симптомы, возникающие во время отмены амфетамина, проходят через неделю или меньше, некоторые симптомы могут сохраняться неделями или месяцами. При этом симптомы отмены амфетамина могут побудить людей вернуться к регулярному употреблению наркотиков[13].
При хроническом употреблении амфетамина часто возникают вегето-сосудистые нарушения, падение массы тела и истощение, а также патологическое развитие личности[14]. У некоторых потребителей также возникают хронические амфетаминовые психозы, схожие с шизофреническим психозом и характеризующиеся галлюцинаторно-бредовым синдромом[14].
Метаболизм
Несмотря на то, что значительная часть амфетамина выводится из организма в неизменном виде, амфетамин также подвергается как фазе I метаболизации (преобразование в более полярные производные), так и фазе II метаболизации (конъюгации). Фаза I метаболизации катализируется двумя системами ферментов: цитохромами P450 (включая CYP2D6, CYP3A4 и CYP1A2) и флавин-содержащей монооксигеназой. Декстроамфетамин метаболизируется более активно, чем левамфетамин[15][16].
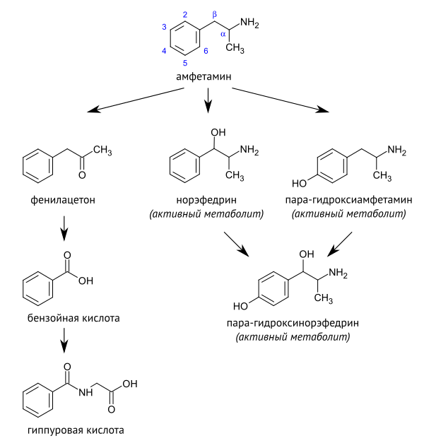
Основным путём метаболизации является дезаминирование амфетамина с образованием неактивного метаболита, фенилацетона (P2P), который затем окисляется до бензойной кислоты и выводится в виде гиппуровой кислоты или подвергается конъюгации с глюкуроновой кислотой и выводится в виде глюкуронида. Помимо этого, амфетамин также подвергается гидроксилированию в позиции β и 4-й позиции ароматического кольца с образованием норэфедрина и пара-гидроксиамфетамина соответственно, которые затем частично гидроксилируются до пара-гидроксинорэфедрина. Норэфедрин, пара-гидроксиамфетамин и пара-гидроксинорэфедрин являются активными метаболитами. В процессе фазы II метаболизации метаболиты, гидроксилированные по ароматическому кольцу, также подвергаются конъюгации с образованием глюкуронидов[15][16].
При нормальных условиях 16-28 % рацемического амфетамина выводится в виде гиппуровой кислоты, 4 % в виде бензоилглюкуронида, 2-4 % в виде пара-гидроксиамфетамина, 2 % в виде норэфедрина, <1 % в виде фенилацетона и <0,5 % в виде пара-гидроксинорэфедрина[16].
Амфетамин противопоказан при болезнях сердечно-сосудистой системы, включая артериальную гипертензию в умеренной или тяжёлой форме, структурных аномалиях сердца, атеросклерозе, гипервозбудимости, гипертиреозе, истории злоупотребления алкоголем или наркотиками[17].
С осторожностью применяется при анорексии, артериальной гипертензии в лёгкой форме, психозах или биполярном расстройстве, истории эпилепсии, тиках и синдроме Туретта, закрытоугольной глаукоме, острой порфирии[17].
Правовой статус
В соответствии с Конвенцией о психотропных веществах 1971 году, амфетамин и его стереоизомеры внесены в Список II «Зелёного списка». Согласно Конвенции, государства-участники должны обеспечить обязательное лицензирование производства, торговли (включая международную) и распространения веществ из Списка II; кроме того, государства обязаны предоставлять статистическую информацию в Международный комитет по контролю над наркотиками[18][19].
Постановлением Правительства РФ № 486 от 30 июня 2010 года амфетамин был внесён в список наркотических средств, психотропных веществ и их прекурсоров, оборот которых в Российской Федерации запрещен (Список I). До этого постановления амфетамин входил в Список II[20]. При этом левовращающий изомер амфетамина, левамфетамин, входит в Список III[21].
В США амфетамин внесён в Список II Акта о контролируемых веществах (вещества, имеющие высокий потенциал злоупотребления и способные привести к тяжёлой психологической или физической зависимости)[22].
Фенилацетон включён в Список прекурсоров и химических веществ, часто используемых при незаконном изготовлении наркотических средств и психотропных веществ, находящихся под международным контролем в соответствии с Конвенцией ООН о борьбе против незаконного оборота наркотических средств и психотропных веществ 1988 года («красный список»)[23].
Фенил-2-нитропропен постановлением правительства Российской Федерации от 22 февраля 2019 года № 182 внесён в список I прекурсоров (до этого был внесен в список прекурсоров, оборот которых ограничен, Список IV).
В России фенилацетон внесён в список наркотических средств, психотропных веществ и их прекурсоров, оборот которых запрещен (Список I). Бензальдегид и аллилбензол внесены в список прекурсоров, оборот которых ограничен (Список IV)[21].
Примечания


