Пектины
Пекти́новые вещества́, или пекти́ны (от др.-греч. πηκτός — свернувшийся, замёрзший) — полисахариды, образованные остатками главным образом галактуроновой кислоты. Присутствуют во всех высших растениях, особенно в фруктах, и в некоторых водных растениях — примером является взморник морской. Пектины, являясь структурным элементом растительных тканей, способствуют поддержанию в них тургора, повышают засухоустойчивость растений, устойчивость овощей и фруктов при хранении. В растительных клетках находятся две основные формы пектиновых веществ: пектин растворимый (гидропектин) и пектин нерастворимый (протопектин)[1]. Используются в пищевой промышленности — в качестве структурообразователей (гелеобразователей), загустителей, а также в медицинской и фармацевтической промышленности — в качестве физиологически активных веществ, также в виде модифицированного пектина, с полезными для организма человека свойствами. В промышленных масштабах пектиновые вещества получают в основном из яблочных и цитрусовых выжимок, жома сахарной свёклы, корзинок подсолнечника, тыквы.
Пектины практически не усваиваются пищеварительной системой человека, являются энтеросорбентами. Пектин оказывает благоприятную роль, например, при отравлениях токсичными металлами, в подавлении деятельности гнилостных микроорганизмов. Продукты, богатые пектинами, выводят радионуклиды из организма. Пектин более эффективно, чем клетчатка, способствует снижению холестерина в крови и удалению желчных кислот[1].
Биология
В биологии растений пектин состоит из сложного набора полисахаридов, которые присутствуют в большинстве первичных клеточных стенок и особенно распространены в недревесных частях наземных растений[2]. Пектин является основным компонентом срединной пластинки, где он помогает связывать клетки вместе, но также содержится в первичных клеточных стенках. Пектин откладывается путем экзоцитоза в клеточной стенке через пузырьки, образующиеся в клетках Гольджи[3].
Количество, структура и химический состав пектина различаются как у разных растений так и внутри различных частей одного растения. Пектин является важным полисахаридом клеточной стенки, который обеспечивает первичное расширение клеточной стенки и рост растений[4]. Во время созревания плодов пектин расщепляется ферментами пектиназой и пектинэстеразой, в результате чего плоды становятся мягче, поскольку срединные пластинки разрушаются и клетки отделяются друг от друга[5]. Аналогичный процесс разделения клеток, вызванный распадом пектина, происходит в зоне опадения черешков у листопадных растений.
Пектин является естественной частью рациона человека, но не вносит существенного вклада в питание. Ежедневное потребление пектина из фруктов и овощей можно оценить примерно в 5 г при потреблении примерно 500 г фруктов и овощей в день.
При пищеварении человека пектин связывается с холестерином в желудочно-кишечном тракте и замедляет всасывание глюкозы, задерживая углеводы. Таким образом, пектин является растворимым пищевым волокном. Было показано, что у мышей с диабетом (NOD), не страдающих ожирением, пектин увеличивает частоту развития диабета[6].
Исследование показало, что после употребления фруктов концентрация метанола в организме человека увеличивается на порядок из-за разложения натурального пектина (который этерифицируется метиловым спиртом) в толстой кишке[7].
Было обнаружено, что пектин выполняет определённую функцию в восстановлении ДНК некоторых видов семян растений, обычно пустынных растений[8]. Поверхностные пленки семян, богатые пектином, создают слизистый слой, который удерживает влагу, что помогает клетке восстанавливать свою ДНК[9].
Было показано, что потребление пектина незначительно (на 3-7 %) снижает уровень холестерина ЛПНП в крови. Эффект зависит от источника пектина; яблочный и цитрусовый пектины были более эффективными, чем пектин из апельсиновой мякоти[10]. Механизм, по-видимому, заключается в увеличении вязкости в кишечном тракте, что приводит к снижению всасывания холестерина из желчи или пищи[11]. В толстом и тонком кишечнике микроорганизмы разлагают пектин и выделяют короткоцепочечные жирные кислоты, которые оказывают положительное влияние на здоровье (пребиотический эффект)[12].
Химическая структура и свойства
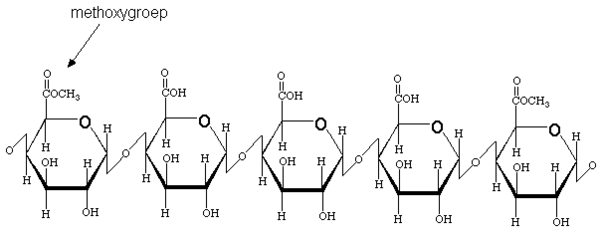
Класс веществ пектинов встречается в самых разных структурах. Общим для всех является то, что это полисахариды, основной ингредиент которых (по крайней мере, один из них) является полисахаридами. 65 % по весу), который представляет собой α-D-галактуроновую кислоту (значение pKa 2,9) в виде мономера. Эти мономеры галактуроновой кислоты связаны друг с другом через α-1,4-, в основном также в небольшой степени, через β-1,4-гликозидные связи, образуя, таким образом, основу молекулы пектина.
Эта линейная основа периодически прерывается 1,2-связями с α-L-рамнозой. Следовательно, систематическое название пектина — рамно-галактуроновая кислота. Включение единиц рамнозы вызывает нарушение в формально прямолинейной цепи полигалактуроновой кислоты: цепи становятся «изогнутыми». В свою очередь, строительные блоки рамнозы в природных пектинах несут олигомерные боковые цепи, состоящие из сахаров арабинозы, галактозы или ксилозы. Эти боковые цепи нейтрального сахара, в свою очередь, можно разделить на арабинаны, галактаны и арабиногалактан-I, а также арабиногалактан-II, который связан с белками, но часто также относится к гемицеллюлозам. Боковые цепочки обычно составляют от одной до 50 единиц сахара. При промышленном извлечении пектинов большая часть этих боковых цепей, но особенно слабокислая арабинофураноза, теряется. Разветвления в цепи через L-рамнозу и её боковые цепи не происходят регулярно, а накапливаются в так называемых «пушистых областях». Напротив, линейные части цепочки называются «гладкими областями».
Помимо разветвлений основной цепи, в макромолекуле пектина обнаруживаются и другие особенности. Гидроксильные группы в атомах С2 или С3 звеньев галактуроновой кислоты в небольших количествах ацетилированы или замещены другими нейтральными сахарами, такими как D-галактоза, D-ксилоза, L-арабиноза или L-рамноза — опять же, преимущественно в «пушистых областях». Карбоксигруппы полигалактуроновой кислоты часто этерифицируются метанолом. Степень этерификации и ацетилирования зависит от происхождения пектина, но оказывает решающее влияние на его химические свойства. Вот почему пектины классифицируются на основе их средней степени этерификации VE.
Применение
Пектин для применения в пищевой и фармацевтической промышленности — очищенный полисахарид — получают кислотной экстракцией из цитрусовых (лайм, лимон, апельсин, грейпфрут), яблочных выжимок, жома сахарной свеклы, морской травы, или из корзинок подсолнечника. Технологическая схема получения пектина предусматривает его экстрагирование из исходного сырья, очистку, осаждение органическими растворителями, сушку, измельчение и т. н. стандартизацию. Стандартизация представляет собой процесс модификации свойств пектина, достигаемой физическими и/или химическими способами, с целью приведения их в соответствие с технологическими и рецептурными требованиями производства различных групп пищевых и непищевых продуктов. Пектин является гелеобразователем, стабилизатором, загустителем, влагоудерживающим агентом, осветлителем, веществом, облегчающим фильтрование и средством для капсулирования, зарегистрирован в качестве пищевой добавки E440.
В пищевой промышленности пектин используют в производстве начинок для конфет, производстве фруктовых начинок, кондитерских желейных и пастильных изделий (например, зефир, пастила, мармелад), молочных продуктов, десертов, мороженого, спредов, майонеза, кетчупа, сокосодержащих напитков. В фармацевтической и медицинской промышленности пектин используют, например, для капсулирования лекарств.
Пектины для промышленного применения, полученные из различных растительных источников, представляют собою порошки без запаха от светлокремового до коричневого цвета. Цитрусовые пектины обычно светлее яблочных. Во влажной атмосфере пектины могут сорбировать до 20 % воды. В избытке воды они растворяются. Пектины не растворяются в растворах с содержанием сухих веществ более 30 %.
В отличие от сахарного песка, который сразу же после попадания в воду начинает растворяться, частица пектинового порошка, попав в воду, всасывает её, словно губка, увеличиваясь в размерах в несколько раз, и только после достижения определённого размера начинает растворяться. Если частицы пектинового порошка при соприкосновении с водой находятся близко друг к другу, то, всасывая воду и разбухая, они слипаются, образуя один большой липкий ком, чрезвычайно медленно растворяющийся в воде.
В производстве пищевых продуктов, таких как варенье, джем, конфитюр, мармелад, пектин применяют в качестве гелеобразователя. Пектин может быть использован в составе смеси с сахаром т. н. «желирующего сахара», применяемого для приготовления желейных продуктов в домашних условиях. В зависимости от химических свойств различают две основные группы пектинов — 1) высокоэтерифицированные пектины и 2) низкоэтерифицированные пектины. Механизмы желирования у этих двух групп пектинов отличаются друг от друга.
Высокоэтерифицированные пектины желируют при высоком содержании сухих веществ в среде (напр., при высоком содержании сахара) и высокой кислотности, низкоэтерифицированные пектины способны образовывать гели при низких содержаниях сухих веществ и невысокой кислотности. Желирование высокоэтерифицированных пектинов — это процесс, при котором полимерные молекулы в условиях высокой кислотности и высокого содержания сухих веществ взаимодействуют друг с другом через образование химических связей — водородных мостиков, образуют плотную пространственную структуру, называемую гелем или желе. Молекулы пектина образуют равномерно распределенную трехмерную сеть, связывая при этом большое количество воды. Желирование низкоэтерифицированных пектинов происходит как по механизму желирования высокоэтерифицированных пектинов, так и в результате взаимодействия с ионами поливалентных металлов, например с ионами кальция. При этом ионы кальция являются связующими звеньями между полимерными молекулами пектина, образующими пространственную структуру геля (желе). Именно гелеобразующая способность пектина является определяющим фактором его широкого применения в пищевой промышленности.
Комплексообразующая способность основана на взаимодействии молекулы пектина с ионами тяжелых металлов и радионуклидов. Благодаря наличию в молекулах большого количества свободных карбоксильных групп именно низкоэтерифицированные пектины проявляют наибольшую эффективность. Специальные препараты, содержащие комплексы высоко- и низкоэтерифицированных пектинов, включают в рацион питания лиц, находящихся в среде, загрязненной радионуклидами, и имеющих контакт с тяжелыми металлами. Специальные высокоочищенные пектины могут быть отнесены к незаменимому веществу для использования в производстве функциональных пищевых продуктов, а также продуктов здорового и специального (профилактического и лечебного) питания. Оптимальная профилактическая дозировка специального пектина составляет 5-8 г в сутки, а в условиях радиоактивного загрязнения — не менее 15-16 г[13][14].
Производство пектина — динамически развивающийся бизнес с ежегодным увеличением производства на 3-4 %. Мировое производство и рынок пектина сосредоточено в Европе (Германия, Швейцария и др.), Южной Америке (Аргентина, Бразилия), Южной Африке, Китае, Иране и др. Объём производства составляет приблизительно 28-30 тыс. т в год. На долю пектина из цитрусовых культур приходится до 70 % производимого пектина, и на долю яблочных пектинов — до 30 %. Ведущими мировыми производителями этого продукта являются компании Herbstreith & Fox, Cargill, Danisco, CP Kelco, Yantai Andre Pectin. Последний, по данным Центра инвестиционно-промышленного анализа и прогноза, вырвался в 2012 году в лидеры, заняв 22 % российского рынка. При этом, на одной и той же технологической линии производятся пектины из разных видов сырья. Тем самым можно говорить о возможности создания универсального пектинового производства. В Российской Федерации пектин в основном применяют для производства кондитерских желейных изделий (мармелад, зефир), фруктовых желейных консервов (конфитюр, джем, повидло, начинки), кисломолочных продуктов (йогурты, начинки для йогуртов), хлебобулочных изделиях (термостабильные начинки) и др.
Содержание в продуктах питания
Чаще всего в пищевых продуктах встречается так называемый растворимый пектин. Однако в некоторых овощах и фруктах, особенно сырых, обнаруживаются заметные количества труднорастворимого пектина. Поскольку пектиновые вещества представляют собой природные органические соединения — полисахариды, то и содержатся они в различных количествах во фруктах, овощах, корнеплодах. Наиболее богаты пектинами овощи — свёкла столовая, морковь, перец, тыква, баклажаны, а также фрукты — яблоки, айва, вишня, слива, груши, цитрусовые. Высоким содержанием пектинов характеризуются также фруктовые и овощные соки с мякотью (яблочный, морковный, яблочно-морковный, яблочно-клюквенный, айвовый, персиковый, томатный), фрукты, протёртые с сахаром и его заменителем (яблоки, клубника, крыжовник, слива, смородина и др.). Рекомендуются и готовые фруктовые и овощные консервы, обогащённые пектином (перец резаный с овощами, икра баклажанная), фруктовые пюре, напитки, кисели, сиропы, мармелад, драже, желе[15]. Наибольшее количество пектиновых веществ находится в плодах и корнеплодах.
Содержание пектинов во фруктах и овощах (в пересчете на свежий вес)[16]:
- Шиповник около 15 % (в лекарственном препарате)[17]
- Яблоко 1-1,5 %
- Выжимка из яблок около 15 г. %
- Айва 0,5 %
- Апельсин 0,5-3,5 %
- Кожура цитрусовых (из апельсинов и лимонов) около 30 г. %
- Абрикос 1 %
- Вишня 0,4 %
- Морковь 1,4 %
Когда пектины извлекаются из тканей растений, они подвергаются химическим изменениям. Вот почему нативные растительные пектины называются протопектинами, чтобы отличать их от модифицированных пектинов.
См. также
- Вещества
- Продукты
Примечания
Ссылки
- Интернет-сайт Международной ассоциации производителей пектина (International Pectin Producers Association) Архивная копия от 11 февраля 2022 на Wayback Machine (англ.)
- Нестеренко В. Б. Радиационный мониторинг жителей и их продуктов питания в Чернобыльской зоне Беларуси. — Минск, 2002. — 135 с. — (Чернобыльская катастрофа). Архивная копия от 4 марта 2016 на Wayback Machine УДК 621.029.553.5



