Декстран
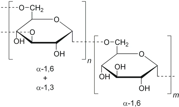
Декстран — полисахарид, разветвлённый полимер глюкозы со средней массой цепей от 3 до 20000 кДа[1]. Главная цепь состоит из молекул, связанных связью α-1,6, а боковые ветви присоединены связями α-1,3. Декстран синтезируется из сахарозы некоторыми уксуснокислыми бактериями. В качестве наиболее известных видов можно привести Leuconostoc mesenteroides и Streptococcus mutans. Крайне обильно декстраны представлены в зубном налёте[2].
В медицине используется как антитромботик для снижения вязкости крови и как наполнитель для увеличения объёма при гиповолемии[3][4].
Декстран впервые был выявлен Луи Пастером как микробный продукт в вине[5].
Что важно знать
| Декстран | |
|---|---|
| Общие | |
| Хим. формула | H(C6H10O5)nOH |
| Физические свойства | |
| Молярная масса | варьирует г/моль |
| Классификация | |
| Рег. номер CAS | 9004-54-0 |
| UNII | 05Q25F6XJ3, 21C3YS80Q6, 41Z0077J45, 42N66Q2197, 65DL069QBP, 7C8S056150, 7SA290YK68, B854H05S7D, E8A73H7RG1, EW7Q6SVD0D, K3R6ZDH4DU, P8272ET3N5, PD6VU01UVN, V7031C06AY и ZNJ8R24I7Z |
| CompTox Dashboard EPA | DTXSID8020385 |
| Рег. номер EINECS | 232-677-5 |
| ChEBI | 52071 |
| ECHA InfoCard | 100.029.694 |
Использование
Модифицированием декстрана получается природный биополимер декстраналь.
Высокомолекулярные декстраны применяются для восполнения ОЦК при кровопотерях, шоках различного генеза. Среднемолекулярные декстраны используются при различных интоксикациях, нарушениях реологических свойств крови и капиллярного кровотока, для лечения и профилактики тромбофлебитов и шоковых состояний.
См. также
Ссылки
- ДЕКСТРАНИ //Фармацевтическая энциклопедия (укр.)


