Плотность воздуха
Пло́тность во́здуха — масса газа атмосферы Земли на единицу объема или удельная масса воздуха при естественных условиях. Плотность воздуха является функцией от давления, температуры и влажности. Обычно стандартной величиной плотности воздуха на уровне моря в соответствии с Международной стандартной атмосферой принимается значение 1,2255 кг/м³, которая соответствует плотности сухого воздуха при 15 °С и давлении 101 330 Па.
Что важно знать
| Плотность воздуха | |
|---|---|
| Размерность | L−3 M |
| Единицы измерения | |
| СИ | кг/м³ |
| СГС | г/см³ |
| Примечания | |
| скалярная величина | |
Взаимосвязи в пределах модели идеального газа
| ||||||||||||||||||||||||||||||||||||||||||||||||||||||||||||||||
Плотность сухого воздуха может быть вычислена с использованием уравнения Менделеева — Клапейрона для идеального газа при заданных температуре и давлении:
Здесь — плотность воздуха, — молярная масса (29 г/моль для сухого воздуха), — абсолютное давление, — универсальная газовая постоянная, — абсолютная температура в кельвинах. Таким образом, подстановкой получаем:
- при стандартной атмосфере Международного союза теоретической и прикладной химии (температуре 0 °С, давлении 100 кПа, нулевой влажности) плотность воздуха 1,2754 кг/м³;
- при 20 °C, 101,325 кПа и сухом воздухе плотность атмосферы составляет 1,2041 кг/м³.
В приведенной таблице даны различные параметры воздуха, вычисленные на основании соответствующих элементарных формул, в зависимости от температуры (давление взято равным 101,325 кПа).
Под влажностью понимается наличие в воздухе газообразного водяного пара, парциальное давление которого не превосходит давления насыщенного пара для данных атмосферных условий. Добавление водяного пара в воздух приводит к уменьшению его плотности, что объясняется более низкой молярной массой воды (18 г/моль) по сравнению с молярной массой сухого воздуха (~29 г/моль)[1]. Влажный воздух может рассматриваться как смесь идеальных газов, комбинация плотностей каждого из которых позволяет получить требуемое значение для их смеси[2]. Подобная интерпретация позволяет определять значение плотности с относительной погрешностью менее 0,2 % в диапазоне температур от −10 до +50 °C и может быть выражена следующим образом[2]:
- где — плотность влажного воздуха (кг/м³);
- — парциальное давление сухого воздуха (Па);
- — газовая постоянная для сухого воздуха (287,058 Дж/кг·К);
- — температура (K); — давление водяного пара (Па) и — постоянная для пара (461,495 Дж/кг·К).
Давление водяного пара может быть определено исходя из относительной влажности:
- где — давление водяного пара;
- — относительная влажность;
- — парциальное давление насыщенного пара.
Парциальное давление насыщенного пара может быть представлено в виде следующего упрощенного выражения[2]:
которое дает результат в миллибарах.
Давление сухого воздуха определяется разностью:
- где обозначает абсолютное давление рассматриваемой системы.
Для вычисления плотности воздуха на определённой высоте в тропосфере (формула справедлива для высот менее 20 км) могут использоваться следующие параметры (в параметрах атмосферы указано значение для стандартной атмосферы):
- стандартное атмосферное давление на уровне моря — = 101 325 Па;
- стандартная температура на уровне моря — = 288,15 K;
- ускорение свободного падения над поверхностью Земли — = 9,80665 м/с2 (при данных вычислениях считается независимой от высоты величиной);
- среднее значение вертикальной компоненты градиента температуры в тропосфере (см. Стандартная атмосфера) — = -0,0065 К/м (знак минус перед градиентом означает, что температура с высотой падает. Однако в атмосфере есть области с положительными значениями градиента температуры: на высотах с 35 до 53 км, а также выше 80 км);
- универсальная газовая постоянная — = 8,31447 Дж/моль·K;
- молярная масса сухого воздуха — = 0,0289644 кг/моль.
Для тропосферы (то есть области линейного убывания температуры — это единственное свойство тропосферы, используемое здесь) температура на высоте над уровнем моря может быть задана формулой:
Давление на высоте :
Тогда плотность может быть вычислена подстановкой соответствующих данной высоте температуры и давления в формулу:
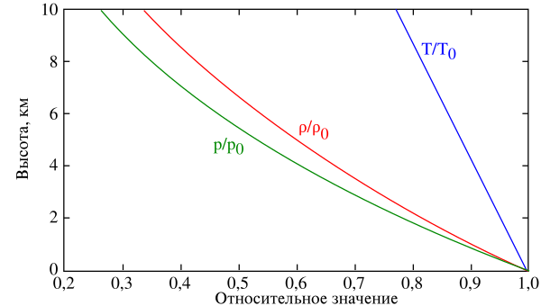
Эти три формулы (зависимость температуры, давления и плотности от высоты) и использованы для построения графиков, приведенных справа. Графики нормализованы — показывают общий вид поведения параметров. «Нулевые» значения для верных вычислений нужно каждый раз подставлять в соответствии с показаниями соответствующих приборов (термометра и барометра) на данный момент на уровне моря.
См. также
Примечания
Ссылки
- Conversions of density units ρ Архивная копия от 29 ноября 2010 на Wayback Machine (англ.)
- Air density and density altitude calculations Архивная копия от 30 ноября 2010 на Wayback Machine (англ.)
- Reference manual for air density, density altitude, and grains of water Архивная копия от 23 октября 2014 на Wayback Machine (англ.)
- Air density, density altitude, grains of water calculator by region Архивная копия от 3 марта 2022 на Wayback Machine (англ.)


