Этаноламин

Этанóлами́н HO-CH2CH2-NH2 (глицинóл, 2-аминоэтанóл, тривиальное название коламин) — органическое вещество класса аминоспиртов, является первичным амином и первичным спиртом. Также называется моноэтаноламином для отличия от диэтаноламина (NH(CH2CH2OH)2) и триэтаноламина (N(CH2CH2OH)3).

Общие сведения
Этаноламин
Общие
Сокращения МЭА
Традиционные названия 2-Аминоэтан-1-ол[1], 2-Амино-l-Этанол, 2-Аминоэтанол, Моноэтаноламин, β-Аминоэтанол, Аминоэтиловый спирт[2] коламин, глицинол
Хим. формула C2H7NO
Рац. формула C2H7NO[3]
Физические свойства
Молярная масса 61,08 г/моль
Плотность 1,012 г/см³
Динамическая вязкость 0,019 Па·с
Энергия ионизации 8,96 ± 0,01[6]
Термические свойства
Температура
 • плавления 10,3 °C
 • кипения 170 °C
 • вспышки 85 °C
 • самовоспламенения 450 °C
Пределы взрываемости 3 ± 1[6]
Давление пара 0,4 ± 0,1[6]
Химические свойства
Константа диссоциации кислоты 9,50
Растворимость
 • в воде смешивается
 • в гептане 0,41 г/100 мл
Оптические свойства
Показатель преломления 1,4539 (20°C)
Классификация
Рег. номер CAS 141-43-5
3D model (JSmol) Интерактивная схема
PubChem
UNII
CompTox Dashboard EPA
Рег. номер EINECS 205-483-3
SMILES
InChI
RTECS KJ5775000
ChEBI
ChemSpider
ECHA InfoCard
Безопасность
ЛД50 149 мг/кг[4]
Токсичность Класс опасности (по ГОСТ 12.1.007-76): 2-й[5]
NFPA 704
Огнеопасность 2: Для воспламенения необходим некоторый нагрев или относительно высокая температура воздуха (например, дизельное топливо). Температура вспышки между 38 °C (100 °F) и 93 °C (200 °F)Опасность для здоровья 3: Кратковременное воздействие может привести к серьёзным временным или умеренным остаточным последствиям (например, хлор, серная кислота)Реакционноспособность 0: Стабильно даже при действии открытого пламени и не реагирует с водой (например, гелий)Специальный код: отсутствуетNFPA 704 four-colored diamond
2
3
0

Физические свойства

Вязкая маслянистая жидкость с температурой кипения 170 °C. Имеет слабый аминный запах. Смешивается с водой во всех отношениях. Хорошо растворим в этаноле, бензоле, хлороформе.

Получение

В промышленности синтез этаноламина проводится присоединением аммиака к этиленоксиду в присутствии небольшого количества воды. Процесс осуществляют в одну стадию при температуре 90—130 °С и давлении 7—10 МПа.

Reaction of ethylene oxide with ammonia.png

Наряду с моноэтаноламином при этом получаются диэтаноламин и триэтаноламин. При соотношении этиленоксид/аммиак (1:15) в продуктах реакции содержится 78,3 % моно-, 16 % ди- и 4,4 % триэтаноламинов. Этиленоксид в реакции реагирует нацело.

Соотношение этаноламинов в смеси регулируют концентрацией NH3, температурой процесса и повторным направлением в реакцию одного или двух этаноламинов.

Образующуюся смесь этаноламинов, Н2О и NH3 разделяют ректификацией, при этом аммиак в сжиженном виде повторно направляют в реактор.

В лаборатории этаноламин получают действием аммиака на этиленхлоргидрин (2-хлорэтанол):

Химические свойства

Этаноламин — слабое основание (pKa=9.50). С минеральными и сильными органическими кислотами образует соли.

При взаимодействии со сложными эфирами и карбоновыми кислотами или их ангидридами и хлорангидридами моноэтаноламин превращается в соответствующие N-(2-гидрооксиэтил)амиды кислот:

Моноэтаноламин с альдегидами (за исключением формальдегида) и кетонами даёт основания Шиффа, последние обычно находятся в равновесии с изомерными оксазолидинами:

Reaction ethanolamine with aldehide.png

При взаимодействии солей моноэтаноламина с KCN или NaCN и альдегидами и кетонами образуются N-(гидроксиэтил)аминонитрилы:

Моноэтаноламин при реакции с CS2 образует N-(2-гидроксиэтил)дитиокарбаминовую кислоту, которая при нагревании даёт меркаптотиазолин:

Reaction of aminoethanol with serouglerod.png

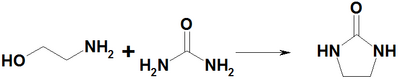
При нагревании с мочевиной образуется этиленмочевина:

Reaction of ethanolamine with urea.png

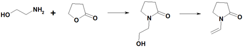
С γ-бутиролактоном — N-(2-гидроксиэтил)пирролидон, который далее превращается в N-винилпирролидон:

Rection aminoethanol with gamma-butirolactone.png

Аммонолиз моноэтаноламина в присутствии Н2 и катализаторов гидрирования (Ni или Cu) приводит к образованию этилендиамину:

Биологическая роль

Этаноламин всегда присутствует в незначительном количестве в организме человека и животных при полноценном белковом питании. В организме он образуется при декарбоксилировании аминокислоты серина. Дальнейшие пути превращений связаны либо с синтезом одного из фосфатидов — кефалина, являющегося фосфатидилэтаноламином, либо с превращением этаноламина в холин.

Применение

Водные растворы этаноламина обладают щелочной реакцией и хорошо поглощают кислые газы (диоксид углерода, Диоксид серы, сероводород, а также газообразные и летучие тиолы). При нагреве раствора поглощённые газы выделяются, регенерированный раствор повторно направляют для поглощения. Благодаря обратимости растворы этаноламина широко используются в качестве абсорбента в различных процессах газоочистки (например, удаление примесей сероводорода, углекислого газа и тиолов в нефтегазовой и нефтехимической промышленности) и для разделения газов (в частности, абсорбция углекислого газа из смеси газов при производстве водорода конверсией метана).

Применяется в средствах для окраски волос в качестве заменителя раствора аммиака.

Этаноламин также является исходным веществом в промышленном синтезе таурина.

Безопасность

Моноэтаноламин обладает общетоксическим действием. В соответствии с ГОСТ 12.1.005-76 моноэтаноламин отнесён к токсичным высокоопасным химическим веществам по степени воздействия на организм, 2-го класса опасности[7]. В высоких концентрациях может раздражать кожу и слизистые оболочки[8]. Летальная доза (ЛД50 100-149 мг/кг[9] (для белых мышей, перорально).

При остром отравлении возникает раздражение слизистых оболочек, урежение дыхания, двигательное возбуждение, судороги. У белых крыс, вдыхавших воздух с концентрацией моноэтаноламина 0,2—0,4 мг/л по 5 часов ежедневно в течение 6 месяцев наблюдались изменения функционального состояния центральной нервной системы и функций печени, незначительная анемия и ретикулоцитоз, повышенный диурез и белок в моче.

Крысы, подвергавшиеся практически непрерывному отравлению в течение 30 суток при концентрации 0,164 мг/л, погибали через 14—24 суток, но выживали в тех же условиях в течение 90 дней при концентрации 0,029 мг/л. Морские свинки при непрерывном вдыхании 0,184 мг/л погибали между 10 и 28 днём. Концентрация 0,037 мг/л переносилась в течение 90 суток, а 0,12 мг/л вызывала лишь слабые признаки отравления. Собаки пережили в течение 30 дней вдыхание 0,25 мг/л и 0,015 мг/л в течение 60 дней[10].

Санитарная норма по ПДК в воздухе рабочей зоны - 1 мг/м3 (рекомендуемая)[11].

Примечания

Литература