Логнормальное распределение
Логнорма́льное распределе́ние в теории вероятностей — это двухпараметрическое семейство абсолютно непрерывных распределений. Если случайная величина имеет логнормальное распределение, то её логарифм имеет нормальное распределение.
Что важно знать
Определение
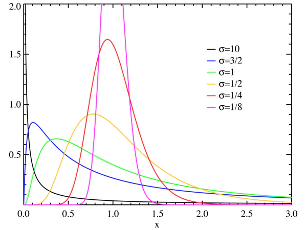
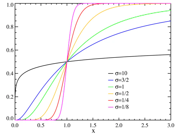
Пусть распределение случайной величины задаётся плотностью вероятности, имеющей вид:
где . Тогда говорят, что имеет логнормальное распределение с параметрами и . Пишут: .
Моменты
Формула для -го момента логнормальной случайной величины имеет вид:
откуда в частности:
- ,
- .
Любые нецентральные моменты n-мерного совместного логнормального распределения могут быть вычислены по простой формуле:
- , где и — параметры многомерного совместного распределения. — вектор, компоненты которого задают порядок момента. (Например, в двухмерном случае, — второй нецентральный момент первой компоненты, — смешанный второй момент). Круглые скобки обозначают скалярное произведение.
Свойства логнормального распределения
- Если — независимые логнормальные случайные величины, такие что , то их произведение также логнормально:
- .
Связь с другими распределениями
- Если , то .
И наоборот, если , то .
Моделирование логнормальных случайных величин
Для моделирования обычно используется связь с нормальным распределением. Поэтому, достаточно сгенерировать нормально распределённую случайную величину, например, используя преобразование Бокса — Мюллера, и вычислить её экспоненту.
Вариации обобщения
Логнормальное распределение является частным случаем так называемого распределения Кэптейна.
Приложения
Логнормальное распределение удовлетворительно описывает распределение частот частиц по их размерам при случайном дроблении, например, градин в граде и т. д. Однако здесь есть исключения, например, размер астероидов в солнечной системе имеет логарифмическое распределение.
Литература
- Crow, Edwin L. & Shimizu, Kunio (Editors) (1988), Lognormal Distributions, Theory and Applications, vol. 88, Statistics: Textbooks and Monographs, New York: Marcel Dekker, Inc., с. xvi+387, ISBN 0-8247-7803-0
- Aitchison, J. and Brown, J.A.C. (1957) The Lognormal Distribution, Cambridge University Press.
- Limpert, E; Stahel, W; Abbt, M. Lognormal distributions across the sciences: keys and clues (англ.) // BioScience : journal. — 2001. — Vol. 51, no. 5. — P. 341—352. — doi:10.1641/0006-3568(2001)051[0341:LNDATS]2.0.CO;2.
- Eric W. Weisstein et al. Log Normal Distribution at MathWorld. Electronic document, retrieved October 26, 2006.
- Holgate, P. The lognormal characteristic function (неопр.) // Communications in Statistics - Theory and Methods. — 1989. — Т. 18, № 12. — С. 4539—4548. — doi:10.1080/03610928908830173.
- Brooks, Robert; Corson, Jon; Donal, Wales. The Pricing of Index Options When the Underlying Assets All Follow a Lognormal Diffusion (англ.) // Advances in Futures and Options Research : journal. — 1994. — Vol. 7.
- Первушин В.Ф., Сергеева Н.А. Генератор случайных чисел, распределенных по логнормальному закону // Решетневские чтения. — 2009. — № 13.
- Первушин В.Ф. Исследование П-генератора случайных чисел, распределенных по логнормальному закону // Решетневские чтения. — 2011. — № 15.
- Л.П. Пащенко. О выборочной оценке среднего значения при логнормальном распределении // Гигиена и санитария. — 1993. — № 5.



