Ацетондикарбоновая кислота
Ацетондикарбоновая кислота (β-кетоглутаровая кислота) — двухосновная кетокислота, бесцветные кристаллы, медленно разлагающиеся при комнатной температуре. Хорошо растворима воде и этаноле, при нагревании — в этилацетате, плохо растворима в эфире и хлороформе.
Ацетондикарбоновая кислота и её производные широко применяются в синтезе, в том числе синтезе алкалоидов и других природных соединений.
Что важно знать
| Ацетондикарбоновая кислота | |
|---|---|
| Общие | |
| Систематическое наименование |
3-оксопентандиовая кислота |
| Традиционные названия | ацетондикарбоновая кислота, β-кетоглутаровая кислота, 3-кетоглутаровая кислота, 3-оксоглутаровая кислота |
| Хим. формула | C5H6O5 |
| Рац. формула | HOOC-CH2(C=O)CH2COOH |
| Физические свойства | |
| Состояние | бесцветные игольчатые кристаллы |
| Молярная масса | 146,09814 г/моль |
| Плотность | 1,499 г/см³ |
| Термические свойства | |
| Температура | |
| • плавления | 122 (разл.) |
| Классификация | |
| Рег. номер CAS | 542-05-2 |
| 3D model (JSmol) | Интерактивная схема |
| PubChem | 68328 |
| UNII | IH7P7WO21P |
| CompTox Dashboard EPA | DTXSID2060252 |
| Рег. номер EINECS | 208-797-9 |
| SMILES | |
| InChI | |
| ChEBI | 88950 |
| ChemSpider | 61623 |
| ECHA InfoCard | 100.007.999 |
Синтез
Стандартный лабораторный метод синтеза ацетондикарбоновой кислоты — декарбонилирование лимонной кислоты олеумом:
Реакцию проводят на холоду (0 — 10 °C) и под тягой, так как в ходе реакции выделяется токсичный монооксид углерода; выход неочищенной кислоты, пригодной для дальнейшей этерификации, составляет 85-90 %, при необходимости продукт может быть очищен перекристаллизацией из этилацетата[1].
Ацетондикарбоновая кислота может также быть синтезирована из ацетона — прямым карбоксилированием диоксидом углерода или в три стадии через 1,3-дихлорацетон с дальнейшим замещением хлора цианидом и гидролизом в мягких условиях образовавшегося 1,3-дицианоацетона, однако эти методы ввиду их сложности на практике не используются[2].
Реакционная способность и применение в синтезе
По своим химическим свойствам ацетондикарбоновая кислота является типичным представителем β-кетокислот: её реакционная способность определяется, во-первых, наличием двух электронакцепторных заместителей — карбонильной и карбоксильной — у метиленовых групп, что обуславливает их нуклеофильность и кислотность и, во вторых, возможностью образования шестичленного цикла, в котором протон карбоксильной группы образует водородную связь с кислородом кетогруппы.
Сочетание этих свойств обуславливает лёгкость декарбоксилирования ацетондикарбоновой кислоты, которое происходит уже при комнатной температуре, эта реакция, как и в случае других β-кетокислот (например, ацетоуксусной кислоты), идёт через образование циклического переходного состояния, при этом ацетондикарбоновая кислота декарбоксилируется сначала до ацетоуксусной кислоты, которая, отщепляя диоксид углерода, образует ацетон:
Для ацетондикарбоновой кислоты, как и для других β-дикарбонильных соединений, также характерны реакции, обусловленные нуклеофильностью метиленовых групп.
Так, ацетондикарбоновая кислота вступает в реакцию азосочетания с диазониевыми солями (2) с образованием бис-гидразонов мезоксалевого альдегида (3), при этом также происходит декарбоксилирование:
Ацетондикарбоновая кислота вступает в двойную конденсацию Манниха с диальдегидами и ароматическими аминами с образованием бициклических продуктов (Реакция Робинсона — Шёпфа), эта реакция используется как метод синтеза тропанов (в случае янтарного диальдегида)[3][4], и псевдопельтьерина (при использовании глутарового альдегида)[5] и тоже сопровождается декарбоксилированием:
Аналогичная по механизму циклоконденсация эфиров ацетондикарбоновой кислоты с ароматическими альдегидами и аммиаком либо первичными аминами приводит к образованию пиперидонов[6][7][8]:
Эфиры ацетондикарбоновой кислоты вступают в конденсацию Кневенагеля с альдегидами, при этом образуются бис-продукты конденсации[9]; взаимодействие эфиров ацетондикарбоновой кислоты с α-дикарбонильными соединениями (реакция Вейса-Кука) приводит к образованию бицикло[3.3.0]октан-3,7-дионов[10]:
Эфиры ацетондикарбоновой кислоты, подобно ацетоуксусному эфиру и другим 1,3-дикарбонильным соединениям, легко алкилируются алкилгалогенидами в присутствии оснований, при этом соотношение продуктов C-алкилирования и O-алкилирования енолята зависит от условий проведения реакции[11].
Такое алкилирование эфиров ацетондикарбоновой кислоты α-галогенкарбонильными соединениями с вовлечением в реакцию карбонильной группы эфира используется в синтезе гетероциклических соединений.
Так, в условиях реакции Фейста-Берари эфиры ацетондикарбоновой кислоты используются для синтеза фуранов, реакция диметилацетондикарбоксилата с хлорацетальдегидом, ведущая к 2,3-дизамещенному фурану, была использована в качестве первой стадии синтеза микотоксина патулина[12]:
В сочетании с аминами или аммиаком эфиры ацетондикарбоновой кислоты применятся в синтезе пирролов по Ганчу; взаимодействие с диэтилацетондикарбоксилата с хлорацетоном и метиламином является первой стадией синтеза противовоспалительного препарата зомепирака[13][14]:
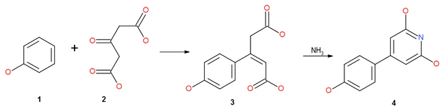
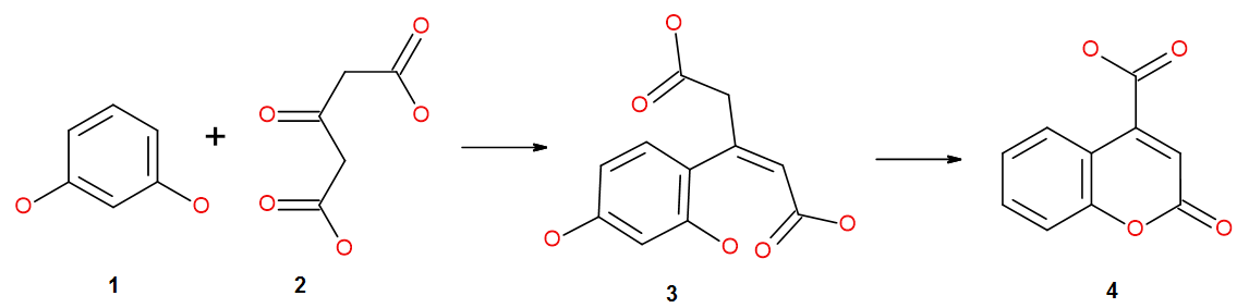
Ацетондикарбоновая кислота конденсируется с фенолами и их эфирами (2) с образованием β-замещённых производных глутаконовых кислот (3), которые служат исходными реагентами для синтеза 2,5-дигидроксипиридинов (4)[15]:
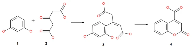
В условиях реакции образовавшиеся глутаконовые кислоты с гидроксильным заместителем в орто-положении ароматического кольца (3) могут замыкаться с образованием кумаринов (4)[16], в современных методиках синтеза используют ацетондикарбоновую кислоту, образующуюся in situ из лимонной кислоты при проведении конденсации в концентрированной серной кислоте[17][18]:
Ацетондикарбоновая кислота этерифицируется спиртами при действии сухого хлороводорода, образуя диэфиры[19], моноэфиры ацетондикарбоновой кислоты получают ацилированием спиртов ангидридом ацетондикарбоновой кислоты.
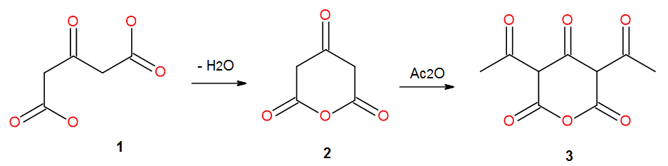
При дегидратации ацетондикарбоновой кислоты в уксусном ангидриде образуется её циклический ангидрид (1,2H-пиран-2,4,6(3H,5H)-трион), однако реакция осложняется идущим ацетилированием с образованием его моно- и диацетильных производных[20]:
В жёстких условиях преобладающим продуктом становится дегидроацетовая кислота[21][22].
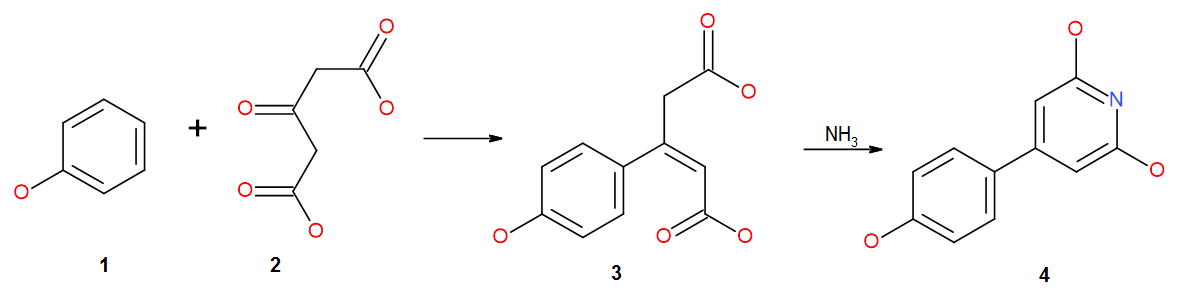
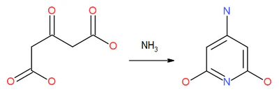
При взаимодействии эфиров ацетондикарбоновой кислоты с аммиаком происходит аммонолиз с образованием циклического имида и замещением кислорода карбонильной группы на иминогруппу, что приводит к образованию 4-амино-2,6-дигидроксипиридина (глутазина)[15]:













