Имиды карбоновых кислот
Ими́ды карбо́новых кисло́т — соединения, содержащие группу -CO-NR-CO-, диацилпроизводные аммиака (R = H) или аминов[1]. Ациклические имиды — производные монокарбоновых кислот также называют диациламинами, большое значение в синтетической химии имеют циклические имиды дикарбоновых кислот.
Синтез
Ацилирование первичных аминов, аммиака или солей аммония является классическим и исторически первым методом синтеза циклических имидов из ангидридов двухосновных кислот. Так, реакция фталевого ангидрида с водным аммиаком ведёт через образование аммонийной соли фталевой кислоты к фталимиду с выходом 95-97 %[2]:
Аналогично синтезируют и сукцинимид из янтарного ангидрида[3], и N-алкилфталимиды[4], и N-сукцинимиды[5]. Синтез проходит в достаточно жёстких условиях, при температурах 100—200 °C на финальных стадиях.
Для ацилирования аминов ангидридами в более мягких условиях используют катализ кислотами Льюиса.
В качестве синтетических эквивалентов аммиака в синтезе циклических имидов могут использоваться формамид и мочевина.
Взаимодействие циклических ангидридов дикарбоновых кислот и самих кислот с формамидом в N-метил-2-пирролидоне приводит к образованию имидов, реакция идёт с отщеплением муравьиной кислоты[6], в случае мочевины как синтетического аналога аммиака реакцию проводят в эвтектической смеси холинхлорида и мочевины[7].
Амиды монокарбоновых кислот могут быть ацилированы до имидов различными ацилирующими агентами — хлорангидридами и ангидридами карбоновых кислот:
- R1CONH2 + R2COX R1CONHCOR2 + HX
- R1CONHR2 + CH2=C(CH3)OCOR3 R1CONR2COR3
N-ацетоацетилкарбоксамиды могут быть синтезированы ацилированием амидов дикетеном в присутствии триметилсилилйодида, которые образуют in situ O-триметилсилильный эфир енола, который выступает в роли ацилирующего агента[9].
Из-за пониженной нуклеофильности амидного по сравнению с аминным азота прямое ацилирование амидов ангидридами карбоновых кислот идёт в жёстких условиях (катализ серной кислотой при нагреве[10]), однако использование эфирата бромида магния MgBr2•Et2O в качестве активатора позволяет проводить ацилирование в более мягких условиях[11].
Имиды образуются при перегруппировке изомерных им ацилимидатов (изоамидов):
Исходные ацилимидаты могут быть синтезированы различными методами — в частности, ацилированием серебряных солей карбоновых кислот имидоилхлоридами[12] и через взаимодействие нитрилилидов, образованных in situ из нитрилов и диазосоединений с карбоновыми кислотами[13].
Имиды могут быть синтезированы окислением N-алкил и N-бензиламидов различными окисляющими агентами:
- R1CONHCH2R2 R1CONHCOR2
Окисление может проводиться пероксимоносульфатом калия в присутствии бромида калия и при облучении светом, предполагается, что реакция проходит по радикальному механизму с фотохимическим образованием радикалов брома из Br2, образующегося при окислении бромида[14].
Реакционная способность и химические свойства
Свойства и реакционная способность имидов сходны со свойствами амидов карбоновых кислот. Индуктивный эффект двух ацильных заместителей при атоме азота обуславливает большую кислотность атома водорода NH-группы, снижает нуклеофильность атомов азота и карбонильного кислорода, а также повышает электрофильность карбонильных атомов углерода ацильных групп по сравнению с амидами.
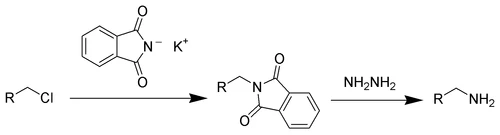
Имиды образуют соли со щелочными металлами, стабильные в спиртовых растворах, и которые легко алкилируются по атому азота алкилгалогенидами. Алкилирование калиевой соли фталимида алкилгалогенидами с последующим гидролизом образовавшегося N-алкилфталимида является классическим методом синтеза первичных аминов по Габриелю:
Имиды взаимодействуют с альдегидами и кетонами с образованием соответствующих аминокарбинолов:
- R'CONHCOR'' + R'''CHO R’CON(CHR'''OH)COR'
и в присутствии аминов вступают с ними в реакцию Манниха в качестве «кислотных» компонент:
- R’CONHCOR'' + CH2O + (CH3)2NH R'CON(CH2N(CH3)2)COR'
Имиды, подобно амидам, взаимодействуют с галогенами или гипогалогенитами с образованием N-галогенимидов, более стабильных, чем N-галогенамиды. Наиболее стабильны циклические N-галогенимиды, некоторые из которых (например, N-бромсукцинимид) используются в органическом синтезе в качестве источников галогена.
Циклические N-галогенимиды под действием оснований претерпевают перегруппировку Гофмана с образованием изоцианатов. Так, например, реакция фталимида с гипохлоритом в щелочной среде является промышленным методом синтеза антраниловой кислоты:
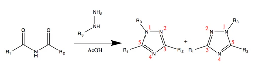
Органические имиды широко применяют в синтезе, аминов, аминокислот, пептидов, гетероциклических соединений, например, в синтезе триазолов по Эйнхорну-Бруннеру:
Примечания
Литература
- Имиды // Малый энциклопедический словарь Брокгауза и Ефрона. — 2-е изд., вновь перераб. и значит. доп. Т. 1-2. — СПб., 1907—1909.
- Имиды кислот — статья из Большой советской энциклопедии.






