Сорбит
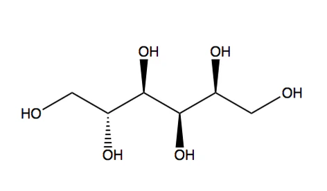
Сорби́т, (сорбито́л), устаревшие названия — глюци́т, глюцито́л[2] — органическое соединение, шестиатомный спирт. Имеет сладкий вкус.
Получают путём гидрирования глюкозы с восстановлением альдегидной группы до первичной спиртовой.
Используется в производстве аскорбиновой кислоты, в косметике и др.
Зарегистрирован в качестве пищевой добавки как E420.
Что важно знать
| Сорбит | |
|---|---|
| Общие | |
| Систематическое наименование |
(2S,3R,4R,5R)-гексан-1,2,3,4,5,6-гексол |
| Традиционные названия | глюцит, глюцитол |
| Хим. формула | C6H14O6 |
| Физические свойства | |
| Молярная масса | 182,17 г/моль |
| Плотность | 1,49 г/см3[1] |
| Термические свойства | |
| Температура | |
| • плавления | 94—96[1] |
| Химические свойства | |
| Растворимость | |
| • в воде | 2350 г/л[1] |
| Классификация | |
| Рег. номер CAS | 50-70-4 |
| 3D model (JSmol) | Интерактивная схема |
| PubChem | 5780 |
| UNII | 506T60A25R |
| CompTox Dashboard EPA | DTXSID5023588 |
| Рег. номер EINECS | 200-061-5 |
| SMILES | |
| InChI | |
| Кодекс Алиментариус | E420 |
| RTECS | LZ4290000 |
| ChEBI | 17924 |
| ChemSpider | 5576 |
| ECHA InfoCard | 100.000.056 |
| Безопасность | |
| NFPA 704 | |
Нахождение в природе
В естественном виде встречается в косточковых плодах, водорослях, высших растениях.
Сорбит вырабатывается организмом человека естественным образом, хотя усваивается плохо. Слишком большое его количество в клетках организма может вызвать их дисфункцию.
Применение
Сорбит часто применяется как заменитель сахара, его можно встретить в диетических продуктах и диетических напитках (например, жевательной резинке без сахара). Вещество является пищевым низкокалорийным подсластителем, так как позволяет обеспечить меньшее количество калорий/энергии для диетического питания — 2,6 килокалории (11 кДж) на 1 грамм, против 4 ккал (17 кДж) у обычного сахара (64 % от калорийности сахарозы), причём сладость меньше также на 40%. Также сорбит обладает желчегонным эффектом,[3][4][5][6] поэтому его часто используют при тюбаже.[7]
В современной косметике сорбит используется как гигроскопическое вещество и загуститель. Некоторые прозрачные бесцветные гели можно приготовить только с его использованием, так как у него достаточно высокий показатель преломления.[источник не указан 1269 дней]
Сорбит входит в состав некоторых зубных паст в качестве удерживающего воду вещества (для предотвращения высыхания продукта)[8].
Иногда сорбит используют в качестве гигроскопического вещества при производстве сигарет[источник не указан 2075 дней].
Сорбит считается важным химическим веществом для производства биотоплива из растительной биомассы[9]. Полное восстановление сорбита водородом позволяет получать алканы, например гексан, которые можно применять в качестве биотоплива. Также в самом сорбите содержится достаточно водорода для реакции восстановления до гексана:
- .
Эта химическая реакция — экзотермическая. На 19 молей сорбита образуется 13 молей гексана. Реакция протекает при условии, что водород не взаимодействует с диоксидом углерода. Преимущество гексана перед обычным биотопливом вроде этанола в том, что он легко отделяется от воды.
Сорбит используется для изготовления карамельного ракетного топлива.
Свойства
Бесцветные кристаллы со сладким вкусом. Имеет молярную массу 182,17 г/моль, плавится при 112 °C (безводная D-форма). Сорбит хорошо растворим в воде, плохо растворим в холодном спирте.
Образует два кристаллогидрата с химическими формулами и [2].
Вещество является типичным шестиатомным спиртом и проявляет обычные для полиолов свойства. Не восстанавливает реактив Фелинга[2].
Физиологические свойства
Употребление большого количества сорбита может привести к боли в животе, вздутию живота, диарее (от легкой до тяжелой). Избыточное потребление сорбита — более 20 г в день, например в виде жевательной резинки без сахара, приводит к тяжелой диарее, вызывающей непреднамеренную потерю веса или даже требующей госпитализации[10]. В ранних исследованиях доза 25 г сорбита, употребляемого в течение дня, оказывала слабительное действие только у 5 % людей[11]. Поскольку сорбит обладает большой молекулярной массой, при поступлении внутрь избыточного его количества только небольшая его часть абсорбируется в тонкой кишке, тогда как большая часть сорбита попадает в толстую кишку и может провоцировать диарею[12].
Употребление больших количеств сорбитола может усугубить синдром раздражённого кишечника и вызывать нарушение всасывания фруктозы.[источник не указан 2075 дней]
Диабетическая ретинопатия и невропатия могут быть связаны с избытком сорбита в клетках глаз и нервов. Повышенная концентрация сахара при диабете значительно увеличивает активность полиолового пути метаболизма глюкозы в клетках. Результатом реакций этого пути являются низкая концентрация NADPH, накопление в клетках сорбита и образование избытка фруктозы и NADH, что ведет к нарушению окислительно-восстановительного баланса и оксидативному стрессу[13][14].
Сорбитол обладает ярко выраженным слабительным действием, увеличивающимся пропорционально принятому в организм количеству, и применяется в качестве слабительного средства для лечения запоров в слабительных препаратах в виде шоколадок и конфет.
Рекомендуемая суточная доза — 30—40 граммов в день (определяется индивидуально). Дозы в пределах 30—50 г (определяются индивидуально) вызывают метеоризм. Дозы свыше 45—50 г (определяются индивидуально) приводят к сильному слабительному воздействию, сопровождаемому метеоризмом.
Сорбитол можно использовать в качестве слабительного при пероральном приёме или в виде клизмы. Он действует как слабительное, притягивая воду в толстую кишку, стимулируя движения кишечника[источник не указан 2075 дней]
Безопасность
Нетоксичен. Класс опасности — 4.
Примечания
Литература
- Усов А. И. Сорбит // Химическая энциклопедия : в 5 т. / Гл. ред. Н. С. Зефиров. — М.: Большая Российская энциклопедия, 1995. — Т. 4: Полимерные — Трипсин. — С. 389. — 639 с. — 40 000 экз. — ISBN 5-85270-039-8.



