Свободные радикалы
Свобо́дные радика́лы — частицы, содержащие один или несколько неспаренных электронов на внешней электронной оболочке. Свободные радикалы бывают твёрдыми, жидкими и газообразными веществами и могут существовать от очень короткого (доли секунды) до очень долгого времени (до нескольких лет). Радикалы могут быть нейтральными, ионными (ион-радикалы), а также иметь более одного неспаренного электрона (бирадикалы). Свободные радикалы обладают парамагнитными свойствами и являются очень реакционноспособными частицами[1].
История открытия
Существование свободных радикалов установлено ещё в XIX веке. В 1849 году английский химик Эдуард Франкленд нагреванием иодэтана с цинком получил бутан, полагая, что это этильный радикал. Подобную ошибку допустил и немецкий химик Герман Кольбе, приняв этан за метильный радикал:
- .
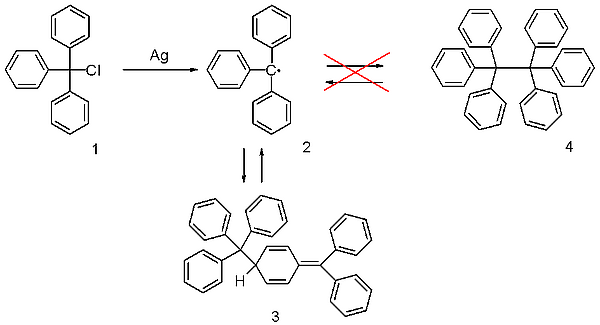
Впервые свободный радикал в растворе обнаружил американский химик Мозес Гомберг. В 1900 году он открыл трифенилметильный радикал, получив его действием серебра на трифенилметилхлорид. Из-за присутствия этого радикала раствор был окрашен в жёлтый цвет, а затем из раствора выпали белые кристаллы димера этого радикала.
В 1901 году был получен порфирексид, свободный радикал нитроксильной структуры. Получившие его О. Пилоти и Б. Шверин не идентифицировали его как радикал[1].
В 1929 году немецкий химик Фридрих Панет идентифицировал метильный и этильный радикалы[2]. В одном из экспериментов он разлагал тетраметилсвинец в токе водорода в термостойкой стеклянной трубке. При этом образовывались метильные радикалы, которые увлекались током водорода дальше по трубке, и металлический свинец, который выпадал на внутреннем диаметре в виде зеркала. Через 30 см от места разложения тетраметилсвинца внутри трубки находилось другое, заранее нанесённое свинцовое зеркало. Пролетающие метильные радикалы реагировали с этим свинцом, снова образуя тетраметилсвинец, который конденсировался в конце установки. Этот же эксперимент позволил благодаря варьированию расстояния между местом разложения и свинцовым зеркалом, а также по скорости тока водорода оценить время жизни радикалов. В условиях опыта (при 1—2 мм рт. ст.) оно составило около 0,0084 секунд[3]:
.
В 1930 году Г. А. Разуваев и В. Н. Ипатьев изучали фотолиз диметилртути в четырёххлористом углероде и установили, что в ходе процесса образуются такие продукты, которые могут образоваться в только в ходе гомолитического распада связи ртуть — углерод. Это послужило доказательством того, что свободные радикалы могут существовать в растворах[3]:
- ;
- ;
- ;
- .
Строение и стабильность
Свободные радикалы делят на σ-электронные и π-электронные. У σ-электронных радикалов неспаренный электрон расположен на σ-орбитали. Как следствие, атом с неспаренным электроном сохраняет свою гибридизацию, а радикал имеет практически то же строение, что и исходная молекула. К σ-электронным радикалам относятся фенильный (C6H5•), винильный (CH2=CH•) и формильный (HC•=O) радикалы, а также карбоксильный (CO2-•) и пиридильный (C5H5N+•) ион-радикалы. В таких радикалах неспаренный электрон слабо делокализуется. Например, в фенильном радикале спиновая плотность на радикальном центре составляет 0,9918, а существенное взаимодействие наблюдается лишь с орто-протонами[1][4].
У π-электронных радикалов неспаренный электрон расположен на p-орбитали, вследствие чего радикальный центр имеет sp2-гибридизацию. Окружающие атомы при этом расположены в узловой плоскости этой орбитали, а радикал имеет вид плоского треугольника или низкой пирамиды с очень малым энергетическим барьером инверсии. К π-электронным радикалам относятся, например, алкильные, аллильные и бензильные радикалы. Из них метильный радикал является плоским, а радикалы CF3• и C(CH3)3• представляют собой низкие пирамиды. Это подтверждается тем, что, например трифторметильный радикал имеет ненулевой дипольный момент (0,43 Д).
Стабильность радикалов рассматривают с термодинамических и кинетических позиций, хотя в большинстве случаев оба вида факторов действуют одновременно. Термодинамическая стабильность радикалов связана с тем, насколько эффективно делокализован неспаренный электрон, поскольку делокализация снижает энтальпию образования свободного радикала. Оценить энтальпию образования радикала можно по энергии диссоциации связи, разрыв которой приводит к образованию этого радикала:
- .
Как следствие, в ряду алифатических радикалов термодинамическая стабильность изменяется следующим образом:
Кинетическая стабильность связана с реакционной способностью радикала по отношению к другим молекулам и радикалам. В первую очередь влияние на кинетическую стабильность оказывает наличие объёмных заместителей около реакционного центра. Если стерические препятствия для подхода реагента к радикалу достаточно велики, то такой радикал может существовать в свободном виде достаточно долгое время. Кинетически стабильные радикалы также называют долгоживущими.
Короткоживущие свободные радикалы
К короткоживущим относятся те свободные радикалы, у которых неспаренный электрон является локализованным, то есть у которых отсутствуют механизмы стабилизации за счёт участия соседних орбиталей или экранирования объёмными заместителями. Короткоживущими являются, например, радикалы NH2·, CH3·, OH·, SiH3· и др. Такие радикалы приходится стабилизировать либо при помощи сильного охлаждения (жидкими гелием, водородом, азотом или аргоном), либо за счёт эффекта клетки, когда свободные радикалы при низкой температуре находятся в окружении молекул застеклованного растворителя[5].
Короткоживущие свободные радикалы генерируют, воздействуя на вещество различными физическими или химическими способами. Типичным примером является генерирование метильного радикала при электролизе ацетата натрия в ходе реакции Кольбе[6]:
- .
Также короткоживущие радикалы генерируют фотолизом. При этом энергия кванта, поглощаемого веществом, должна превышать энергию диссоциации одной из его химических связей:
- .
Некоторые органические соединения с низкой энергией диссоциации соответствующей связи дают свободные радикалы при пиролизе. Так, нагревание органических пероксидов (перекиси бензоила, трет-бутилгидропероксида, кумилпероксида, трет-бутилпероксида) приводит к гомолитическому разрыву связи O-O и образованию двух радикалов:
- .
Долгоживущие свободные радикалы
Долгоживущие свободные радикалы отличаются от короткоживущих тем, что неспаренный электрон в них сильно делокализован, а реакционный центр окружён объёмными заместителями, которые создают пространственные затруднения и понижают реакционную способность этого центра. Получают их различными химическими реакциями, в том числе реакциями одноэлектронного переноса и реакциями без затрагивания радикального центра.
Типичными представителями этого класса свободных радикалов являются арилметильные радикалы. Некоторые из них являются устойчивыми при комнатной температуре окрашенными кристаллическими или аморфными веществами, содержащими около 6·1023 спин/моль неспаренных электронов. Например, так называемые инертные радикалы (C6Cl5)2C•Cl, (C6Cl5)3C•, (C6Cl5)2C•C6H4OH имеют оранжево-красный цвет и плавятся при высокой температуре.
В растворах эти радикалы существуют в равновесии с молекулами-димерами. На положение этого равновесия, то есть на соотношение радикала и димера, влияет сольватация, а также электронные и пространственные эффекты. Первоначально считалось, что димеры имеют структуру гексаарилэтанов, но позже было показано, что они имеют хиноидную структуру.
| Радикал | Степень диссоциации, % | Радикал | Степень диссоциации, % |
|---|---|---|---|
| Ph3C• | 2 | трет-Bu(п-PhC6H4)2C• | 74 |
| (п-PhC6H4)Ph2C• | 15 | (Ph2C=CH)Ph2C• | 80 |
| (β-C10H7)3C• | 24 | (п-PhC6H4)3C• | 100 |
| (α-C10H7)Ph2C• | 60 | (Ph3C)Ph2C• | 100 |
Ароксильные радикалы также относятся к долгоживущим, хотя они быстро реагируют с кислородом, поэтому работа с ними требует инертной атмосферы или вакуума. Они образуются как промежуточные соединения при окислении фенолов. В чистом виде выделены гальвиноксильный радикал с tпл 158 °С и индофеноксильный радикал с tпл 136 °С.
Существует ряд долгоживущих радикалов, у которых радикальный центр находится на атоме азота. Аминильные радикалы, устойчивые при 25 °С, получают окислением вторичных аминов. Особенной устойчивостью обладают вердазильные радикалы, являющиеся одними из самых стабильных органических парамагнетиков. Их период полуразложения на воздухе при комнатной температуре может составлять многие годы[1].
Нитроксильные радикалы по строению схожи с оксидами аминов. Радикальный центр в них находится на атоме кислорода, соединённом с атомом азота. Некоторые нитроксильные радикалы очень устойчивы даже несмотря на то, что неспаренный электрон в них не подвергается делокализации. Известным примером такого устойчивого радикала является тёмно-красный 2,2,6,6-тетраметилпиперидин-1-оксил (TEMPO) с tпл 38 °С. Существуют, однако, и иные структуры, где делокализация неспаренного электрона хорошо выражена, а реакционный центр окружён объёмными заместителями[1].
Иминоксильные радикалы имеют общую формулу RR’C=NO•. Благодаря наличию двойной связи они могут существовать в виде цис- и транс-изомеров.
Химические свойства
Поскольку у свободных радикалов есть неспаренный электрон, они проявляют характерные химические свойства. Так, они вступают в реакции с другими частицами, содержащими неспаренный электрон: со свободными радикалами (в том числе рекомбинируют сами с собой), металлами и молекулярным кислородом[4]:
- ;
- ;
- ;
- .
Также свободные радикалы способны реагировать с соединениями, которые легко диссоциируют на атомы:
- .
Один радикал может оторвать атом водорода от другого радикала: при этом происходит диспропорционирование (образуется одно насыщенное и одно ненасыщенное соединение), а общее число радикалов в системе уменьшается.
Выделяют также реакции с переносом радикального центра, в которых неспаренный электрон в результате отрыва водорода или присоединения радикала по двойной связи оказывается на другой частице.
Существуют и реакции, обратные присоединению, когда радикалы распадаются с разрывом связи в β-положении. Такая фрагментация особенно характерна для алкоксильных радикалов, которые при наличии нескольких путей распада предпочитают тот, при котором образуется более устойчивый алкильный радикал.
Для свободных радикалов характерны реакции перегруппировки, однако в случае радикалов атомы водорода и алкильные группы мигрируют редко (в отличие от перегруппировок карбокатионов). Гораздо чаще встречается миграция фенильной группы или атомов галогена[4].
Обнаружение и анализ
Свободные радикалы обнаруживают благодаря их парамагнитным свойствам[7]. Преимущественно для этого используется метод электронного парамагнитного резонанса (ЭПР). Спектры ЭПР позволяют не только обнаружить свободные радикалы, но и получить информацию об их строении и степени делокализации неспаренного электрона. Для этого используют два параметра: g-фактор и константу сверхтонкого расщепления. Первый из них является аналогом химического сдвига в спектроскопии ЯМР[4].
Сверхтонкое расщепление возникает из-за взаимодействия неспаренного электрона с магнитными ядрами радикала. Если электрон взаимодействует с ядром, имеющим спиновое число I, то в результате расщепления возникает 2I+1 линий. Если таких ядер несколько, например n, то число линий становится равным 2nI+1. У протона спиновое число равно +½, поэтому n эквивалентных протонов расщепляют линию в спектре ЭПР на n+1 линий. Относительная интенсивность этих линий соответствует биномиальным коэффициентам.
Спектр трифенилметильного радикала ещё более сложен, поскольку там неспаренный электрон взаимодействует с 6 эквивалентными протонами в орто-положении, 6 эквивалентными протонами в мета-положении и 3 эквивалентными протонами в пара-положении. В этом случае число линий от каждой группы эквивалентных протонов нужно перемножать, поэтому суммарное число линий в ЭПР-спектре этого катиона равно 7·7·4 = 196. Спектры сложных радикалов расшифровывают путём расчёта теоретических спектров и сравнения их с экспериментальными.
Концентрацию свободных радикалов в образце определяют, записывая одновременно спектр эталона и спектр исследуемого образца. Затем интенсивности сигналов сравнивают. В качестве эталона часто используют дифенилпикрилгидразильный радикал Ph2N-N•-C6H2(NO2)3. Этот же радикал, имеющий тёмно-фиолетовую окраску, позволяет следить за образованием и расходованием радикалов в динамике, поскольку при его взаимодействии с другими радикалами окраска изменяется на жёлтую либо исчезает.
Сложные свободные радикалы исследуют методами двойного электрон-ядерного резонанса (ДЭЯР) и химической поляризации ядер. Если концентрация свободного радикала в растворе достаточна, его можно изучить методом ЯМР[8].
Применение
Долгоживущие свободные радикалы находят применение в качестве стабилизаторов, предотвращающих процессы окисления и полимеризации: в частности, ими стабилизируют акрилонитрил, винилацетат, винилиденхлорид, стирол, фурфурол, жиры и масла. В молекулярной биологии они используются в качестве спиновых меток. Их также используют в производстве фотоматериалов, полимерных покрытий, в приборостроении, геофизике и дефектоскопии.
Короткоживущие радикалы встречаются в природе как промежуточные частицы в различных химических реакциях, например радикальном галогенировании.
Свободные радикалы также образуются в организме человека в ходе обычной жизнедеятельности: при биосинтезе простагландинов, в работе митохондрий и фагоцитов. С образованием в организме радикалов связывают процессы старения.
Примечания
Литература
- Розанцев Э. Г. Радикалы свободные // Химическая энциклопедия : в 5 т. / Гл. ред. Н. С. Зефиров. — М.: Большая Российская энциклопедия, 1995. — Т. 4: Полимерные — Трипсин. — С. 154–157. — 639 с. — 40 000 экз. — ISBN 5-85270-039-8.
- Днепровский А. С., Темникова Т. И. Теоретические основы органической химии. — 2-е издание. — Л. : Химия, 1991. — С. 175–198. — ISBN 5-7245-0206-2.
- Берберова Н. Т. Из жизни свободных радикалов // Соросовский образовательный журнал. — 2000. — Т. 6, № 5. — С. 39–44.


