Трифенилметил
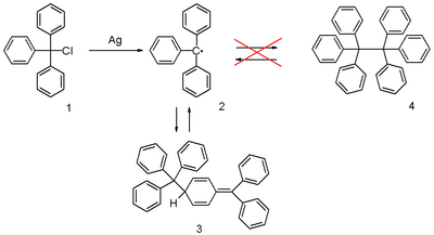
Трифенилметил — стабильный свободный радикал и первый радикал, описанный в органической химии. Трифенилметил может быть получен гомолитическим разложением трифенилметилхлорида 1 (рис. 1) металлами, например, серебром или цинком, в бензоле или диэтиловом эфире. Радикал 2 находится в химическом равновесии с димером 3. В бензоле концентрация радикала составляет 2 %[1].
Содержащие радикал растворы обладают жёлтым цветом, который становится насыщеннее с повышением температуры, поскольку равновесие смещается в сторону образования радикала по принципу Ле Шателье. Напротив, при охлаждении раствора окраска становится менее насыщенной.
При действии воздуха радикал быстро окисляется в пероксид (рис. 2) и раствор становится бесцветным. Подобным же образом радикал реагирует с иодом с образованием трифенилметилиодида.
Радикал был открыт М. Гомбергом в 1900[2][3][4]. Он пытался получить гексафенилэтан из трифенилметилхлорида и цинка в бензоле по реакции Вюрца и, основываясь на поведении продукта по отношению к иоду и кислороду, обнаружил что он гораздо более реакционноспособен, чем ожидалось.
Правильная хиноидная структура димера была предложена уже в 1904, но вскоре научное сообщество отказалось от этой структуры в пользу структуры 4 (рис. 1)[5]. Лишь в 1968 правильная структура была переоткрыта исследователями из Амстердамского свободного университета, опубликовавшими данные спектроскопии протонного ЯМР[6]. Ретроспективно, такая молекула замещённого этана вообще невероятна, так как слишком стерически напряжена.
Интересные факты
- Свою статью в 1900 году Гомберг завершил предложением «Эта работа будет продолжена и я хотел бы оставить это направление себе.» Свою статью 1901 года он закончил словами «Я намереваюсь расширить это исследование на другие соединения кислорода и азотсодержащие производные, и я прошу оставить мне эту область для дальнейшей работы.» Действительно, химики XIX столетия не вторгались в исследования своих коллег; к своему ужасу, Гомберг обнаружил, что это неверно для столетия двадцатого.
Ссылки
- Молекула месяца июнь 1997 Link
- Экспериментальные методы Link


