Постоянный магнит
Постоя́нный магни́т — изделие из магнитотвёрдого материала с высокой остаточной магнитной индукцией, сохраняющее состояние намагниченности в течение длительного времени. Постоянные магниты изготавливаются различной формы и применяются в качестве автономных (не потребляющих энергии) источников магнитного поля.
История развития магнитных материалов
Постоянные магниты, изготовленные из магнетита, применялись в медицине с древнейших времен. Царица Египта Клеопатра носила магнитный амулет. В древнем Китае в «Императорской книге по внутренней медицине» затрагивался вопрос применения магнитных камней для коррекции в теле энергии Ци — «живой силы». В более поздние времена о благотворном влиянии магнитов высказывались великие врачи и философы: Аристотель, Авиценна, Гиппократ. В средние века придворный врач Гилберт, опубликовавший сочинение «О магните», лечил от артрита королеву Елизавету I при помощи постоянного магнита. Русский врач Боткин прибегал к методам магнитотерапии.
Первым искусственным магнитным материалом стала углеродистая сталь, закалённая на структуру мартенсита и содержащая около 1,2—1,5 % углерода. Магнитные свойства такой стали чувствительны к механическим и температурным воздействиям. В ходе эксплуатации постоянных магнитов на её основе наблюдалось явление «старения» магнитных свойств стали.
Легирование такой стали вольфрамом и хромом до 3 %, а позднее кобальтом до 6 % совместно с хромом до 6 % позволило доктору Хонда из Тохокского университета создать новый тип стали — КS — с высокой намагниченностью и значительной коэрцитивной силой. Для получения высоких магнитных свойств сталь подвергалась определённой термической обработке. Высокая остаточная индукция у магнитов из сталей KS достигалась уменьшением размагничивающего фактора. Для этого часто магниты выпускались удлинённой, подковообразной формы.
Исследования магнитных свойств сплавов показали, что они в первую очередь зависят от микроструктуры материала. В 1930 году был достигнут качественный скачок в получении новой микроструктуры твердеющих сплавов, и в 1932 году за счёт легирования стали KS никелем, алюминием и медью доктор Т. Мискима получил сталь МК.
Это значительный шаг в разработке ряда сплавов, получивших позднее общее название Альнико (по российским стандартам ЮНДК).
Существенный прорыв в этой области произвели в 1930-х годах японские ученые, доктор Ёгоро Като и доктор Такэси Такэи из Токийского технологического института. Замещение в составе магнетита части оксида двухвалентного железа на оксид кобальта при синтезе феррита по керамической технологии привела к созданию твёрдого раствора кобальтого и железного ферритов. Коэрцитивная сила данного типа феррита достигла 48—72 кА/м (600—900 Э). В Японии коммерческие ферритовые магниты появились приблизительно в 1955 году, в России — в середине 1960-х. Бариевые ферриты постепенно модифицировались в стронциевые, так как последние оказались более технологичными (не требовали очень точной регулировки температуры спекания и экологически были более безопасными). В составе ферритовых магнитов содержится 85—90 % оксида железа, который является отходом металлургической отрасли (с установки регенерации травильных хлоридных растворов Рутнера), что значительно удешевило производство.
Следующий значительный технологический прорыв произошел в лаборатории U.S. Air Force Material Research, где было найдено интерметаллическое соединение самария с кобальтом (SmCo5) с большой константой магнитокристаллической анизотропии. Постоянный магнит, изготовленный из такого материала, позволил достигнуть свойств (ВН)макс = 16—24 мегаГаусс-Эрстедах (МГсЭ), а на соединении Sm2Co17 — 32 МГсЭ, коэрцитивная сила была повышена до 560—1000 кА/м. Магниты из SmCo производятся промышленностью с 1970-х годов. В это же время было обнаружено соединение Nd2Fe14B. Магниты из этого материала появились и в Японии, и в США одновременно в середине 1980-х годов, но технология их производства разнилась. В Японии производство организовывалось по типу магнитов SmCo: производство порошка из литого сплава, затем прессование в магнитном поле и спекание. В США был принят meltspinning process: сначала производится аморфный сплав, затем он измельчается, и изготавливается композиционный материал. Магнитный порошок связывается резиной, винилом, нейлоном или другими пластиками в композиционную массу, которую прессуют (инжектируют) или каландруют в изделия. Магниты из композиционного материала имеют по сравнению со спечёнными несколько более низкие свойства, однако не требуют гальванических покрытий, легко обрабатываются механически, зачастую имеют красивый внешний вид, будучи окрашенными в различные цвета. Магниты из Nd2Fe14B появились на рынке постоянных магнитов в 1990-х годах и очень быстро достигли на спечённых образцах энергии в 50 МгсЭ (400 кДж/м3). Этот материал быстро вытеснил другие, в первую очередь — в миниатюрной электронике.
Свойства магнита
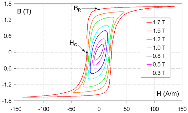
Свойства магнита определяются характеристиками размагничивающего участка петли магнитного гистерезиса материала магнита: чем выше остаточная индукция Br и коэрцитивная сила Hc, тем выше намагниченность и стабильность магнита.
Индукция постоянного магнита Bd не может превышать Br: равенство Bd = Br возможно лишь в том случае, если магнит представляет собой замкнутый магнитопровод, то есть не имеет воздушного промежутка, однако постоянные магниты, как правило, используются для создания магнитного поля в воздушном (или заполненном другой средой) зазоре, в этом случае Bd < Br, величина разности зависит от формы магнита и свойств среды.
Схематичное изображение линий магнитного поля у магнитов различной формы:
Схематичное изображение линий магнитного поля при взаимодействий двух магнитов в зависимости от расположения их полюсов (одинаковые полюса отталкиваются, разные — притягиваются):
Производство
Для производства постоянных магнитов обычно используются следующие материалы:[1]
- Ферритовые магниты
Получают путём прессования и(или) спекания порошка оксидов железа с оксидами других металлов и представляет собой керамику.
- бариевые и стронциевые магнитотвердые ферриты
Имеют состав Ba/SrO·6 Fe2O3 и характеризуются высокой устойчивостью к размагничиванию в сочетании с хорошей коррозионной стойкостью. Несмотря на низкие по сравнению с другими классами магнитные параметры и высокую хрупкость, благодаря низкой стоимости магнитотвердые ферриты наиболее широко применяются в промышленности.
Редкоземельные магниты, изготавливаемые прессованием или литьем из интерметаллида Nd2Fe14B. Преимуществами неодимовых магнитов являются высокие магнитные свойства (Br, Hc и (BH)max), а также невысокая стоимость. В связи со слабой коррозионной устойчивостью обычно покрываются медью, никелем или цинком.
Изготавливаются методом порошковой металлургии из композиционного сплава SmCo5/Sm2Co17 и характеризуются высокими магнитными свойствами, отличной коррозионной устойчивостью и хорошей стабильностью параметров при температурах до 350 °C, что обеспечивает им преимущества на высоких температурах перед магнитами NdFeB. По магнитной составляющей мощнее ферритовых, но слабее неодимовых магнитов. В состав некоторых марок самариевых магнитов кроме основных элементов — самария и кобальта могут входить и другие добавки: железо, медь, эрбий, гадолиний, цирконий, цериевый мишметалл.
- Магниты из сплавов металлов (литые магниты)
Отличаются механической стойкостью. В зависимости от марки и технологии изготовления могут иметь столбчатую, равноосную и монокристаллическую структуру.
- магниты из сплава альнико (российское название ЮНДК)
Разработаны в 1930-х годах. Изготавливаются на основе сплава Al-Ni-Co-Fe. К их преимуществам можно отнести высокую температурную стабильность в интервале температур до 550 °C, высокую временну́ю стабильность параметров в сочетании с большой величиной коэрцитивной силы, хорошую коррозионную устойчивость. Важным фактором в пользу их выбора может являться значительно меньшая стоимость по сравнению с магнитами из Sm-Co.
- магниты из сплава ални
- магниты из сплава FeCoCr
- магниты из сплавов драгметаллов
Высокими магнитными свойствами и способностью к деформации обладают сплавы кобальтоплатиновые, железоплатиновые, железопалладиевые сплавы[2].
- Полимерные постоянные магниты (магнитопласты)
Изготавливаются из смеси магнитного порошка и связующей полимерной компоненты (например резины, винила). Достоинством магнитопластов является возможность получения сложных форм изделий с высокой точностью размеров, низкая хрупкость, а также высокая коррозионная устойчивость в сочетании с большой величиной удельного сопротивления и малым весом.
Применение
Для применений при обычных температурах самые сильные постоянные магниты делаются из сплавов, содержащих неодим. Они используются в таких областях, как магнитно-резонансная томография, сервоприводы жёстких дисков и создание высококачественных динамиков, а также ведущей части двигателей авиамоделей, также применяются в ручных генераторах и в качестве поисковых магнитов.
Широкое применение постоянные магниты находят в электроизмерительных приборах магнитоэлектрической системы.
Постоянные магниты на уроках физики обычно демонстрируются в виде подковы, полюса которой окрашены в синий и красный цвет, также бывают в виде стержней с окрашенными в разные цвета половинками и прямоугольные.
Отдельные шарики и цилиндры с сильными магнитными свойствами используются в качестве хай-тек украшений/игрушек — они без дополнительных креплений собираются в цепочки, которые можно носить как браслет. Также в продаже есть конструкторы, состоящие из набора цилиндрических магнитных палочек и стальных шариков. Из них можно собирать множество конструкций, в основном фермового типа.
Кроме того, существуют гибкие плоские магниты на полимерной основе с магнитными добавками, которые используются например, для изготовления декоративных магнитов на холодильники, оформительских и прочих работ. Выпускаются в виде лент и листов, обычно с нанесённым клеевым слоем и плёнкой, его защищающей. Магнитное поле у такого плоского магнита полосатое — с шагом около двух миллиметров по всей поверхности чередуются северные и южные полюса. Полимерная магнитная лента находится также внутри резинового уплотнителя дверок бытовых холодильников, тем самым одновременно равномерно уплотняя и удерживая дверки в закрытом положений[3].
Постоянные магниты широко используются в электротехнике: двигатели и генераторы постоянного тока (в том числе двигатели автомобильных стартеров) относительно малой мощности имеют статор с постоянными магнитами, также массово производятся синхронные двигатели и генераторы, где ротор содержит в себе постоянные магниты. Синхронные двигатели комбинированного типа (реактивные с постоянными магнитами) используются в качестве тяговых на электромобилях.
Для стабилизации свойств магнитных материалов применяют магнитное старение.
См. также
Примечания
Литература
- Р. Фейнман, Р. Лейтон, М. Сэндс. Фейнмановские лекции по физике. Вып. 7 «Физика сплошных сред». — М.: Мир, 1966
- «ПОСТОЯННЫЕ МАГНИТЫ СПРАВОЧНИК» / под ред. Ю. М. Пятина. — М.: Энергия, 1980
- Куневич А. В., Подольский А. В. Сидоров И. Н. Ферриты: Энциклопедический справочник. Магниты и магнитные системы. Том 1. — М.: Лик, 2004.
- ГОСТ 24063-80. «Ферриты магнитотвёрдые. Марки и основные параметры» (с изменением № 1) // М.: Издательство стандартов. — 1986 г. Электронный вариант документа на сайте «Техэксперт».
- ГОСТ 21559-76. «Материалы магнитотвёрдые спечённые. Марки» // М.: Издательство стандартов. — 1976 г. Электронный вариант документа на сайте «Техэксперт».
- ГОСТ 25639-83. «Магниты литые постоянные. Технические условия» (с изменениями № 1-3) // М.: Издательство стандартов. — 1987 г. Электронный вариант документа на сайте «Техэксперт».
- ГОСТ 24897-81. «Материалы магнитотвердые деформируемые. Марки» (с изменениями № 1-3) // М.: Издательство стандартов. — 1981 г. Электронный вариант документа на сайте «Техэксперт».
- Дополнительная литература:
- Strnat K., Hoffer G., Ostertag W., Olson J. C. Ferrimagnetism of the Rare‐Earth‐Cobalt Intermetallic Compounds R2Co17 // Journal of Applied Physics. — 1966. — Март (т. 37, № 3). — С. 1252—1253. — ISSN 0021-8979. — doi:10.1063/1.1708420.
- Strnat K., Hoffer G., Olson J., Ostertag W., Becker J. J. A Family of New Cobalt‐Base Permanent Magnet Materials // Journal of Applied Physics. — 1967. — Март (т. 38, № 3). — С. 1001—1002. — ISSN 0021-8979. — doi:10.1063/1.1709459.



