Windows-1251
Windows-1251 — набор символов и кодировка, являющаяся стандартной 8-битной кодировкой для русских версий Microsoft Windows до 10-й версии. В прошлом пользовалась довольно большой популярностью. Была создана на базе кодировок, использовавшихся в ранних «самопальных» русификаторах Windows в 1990—1991 гг. совместно представителями «Параграфа», «Диалога» и российского отделения Microsoft. Первоначальный вариант кодировки сильно отличался от представленного ниже в таблице (в частности, там было значительное число «белых пятен»). Но, однако был вариативным и представленным в 6 формах применения.
В современных приложениях отдаётся предпочтение Юникоду (UTF-8). На 1 апреля 2019 лишь на 1 % всех веб-страниц используется Windows-1251.[1]
Что важно знать
Особенности
Windows-1251 выгодно отличается от других 8‑битных кириллических кодировок (таких как CP866, KOI8-R и ISO 8859-5) наличием практически всех символов, использующихся в русской типографике для обычного текста (отсутствует только значок ударения); она также содержит все символы для других славянских языков: украинского, белорусского, сербского, македонского и болгарского.
Windows-1251 имеет два недостатка:
- строчная буква «я» имеет код 0xFF (255 в десятичной системе). Она является «виновницей» ряда неожиданных проблем в программах без поддержки чистого 8-го бита, а также (гораздо более частый случай) использующих этот код как служебный (в CP437 он обозначает «неразрывный пробел», в Windows-1252 — ÿ, оба варианта практически не используются; число же
-1, в дополнительном коде длиной 8 бит представляющееся числом255, часто используется в программировании как специальное значение). Тот же недостаток имеет и KOI8-R, но в ней 0xFF есть заглавный твёрдый знак, который применяется редко (только при написании одними лишь заглавными буквами). - отсутствуют символы псевдографики, имеющиеся в CP866 и KOI8 (хотя для самих Windows, для которых она предназначена, в них не было нужды, это делало несовместимость двух использовавшихся в них кодировок заметнее).
Также как недостаток может рассматриваться отдельное расположение буквы «ё», тогда как остальные символы расположены строго в алфавитном порядке. Это усложняет программы лексикографического упорядочения.
Синонимы: CP1251; ANSI (только в русскоязычной ОС Windows).
Таблицы
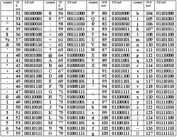
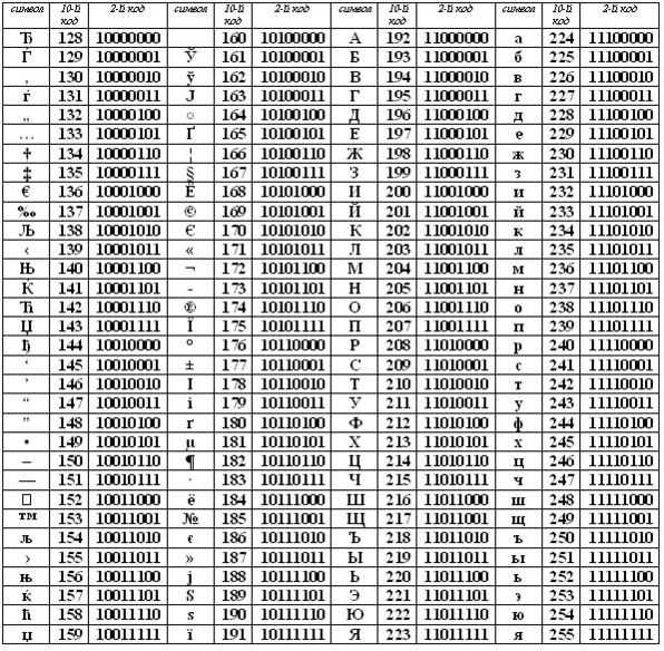
Первая половина таблицы кодировки (коды от 0x00 до 0x7F) полностью соответствует кодировке ASCII. Числа под буквами обозначают шестнадцатеричный код подходящего символа в Юникоде.
| .0 | .1 | .2 | .3 | .4 | .5 | .6 | .7 | .8 | .9 | .A | .B | .C | .D | .E | .F | |
|---|---|---|---|---|---|---|---|---|---|---|---|---|---|---|---|---|
| 8. |
Ђ 402 |
Ѓ 403 |
‚ 201A |
ѓ 453 |
„ 201E |
… 2026 |
† 2020 |
‡ 2021 |
€ 20AC |
‰ 2030 |
Љ 409 |
‹ 2039 |
Њ 40A |
Ќ 40C |
Ћ 40B |
Џ 40F |
| 9. |
ђ 452 |
‘ 2018 |
’ 2019 |
“ 201C |
” 201D |
• 2022 |
– 2013 |
— 2014 |
™ 2122 |
љ 459 |
› 203A |
њ 45A |
ќ 45C |
ћ 45B |
џ 45F | |
| A. |
A0 |
Ў 40E |
ў 45E |
Ј 408 |
¤ A4 |
Ґ 490 |
¦ A6 |
§ A7 |
Ё 401 |
© A9 |
Є 404 |
« AB |
¬ AC |
AD |
® AE |
Ї 407 |
| B. |
° B0 |
± B1 |
І 406 |
і 456 |
ґ 491 |
µ B5 |
¶ B6 |
· B7 |
ё 451 |
№ 2116 |
є 454 |
» BB |
ј 458 |
Ѕ 405 |
ѕ 455 |
ї 457 |
| C. |
А 410 |
Б 411 |
В 412 |
Г 413 |
Д 414 |
Е 415 |
Ж 416 |
З 417 |
И 418 |
Й 419 |
К 41A |
Л 41B |
М 41C |
Н 41D |
О 41E |
П 41F |
| D. |
Р 420 |
С 421 |
Т 422 |
У 423 |
Ф 424 |
Х 425 |
Ц 426 |
Ч 427 |
Ш 428 |
Щ 429 |
Ъ 42A |
Ы 42B |
Ь 42C |
Э 42D |
Ю 42E |
Я 42F |
| E. |
а 430 |
б 431 |
в 432 |
г 433 |
д 434 |
е 435 |
ж 436 |
з 437 |
и 438 |
й 439 |
к 43A |
л 43B |
м 43C |
н 43D |
о 43E |
п 43F |
| F. |
р 440 |
с 441 |
т 442 |
у 443 |
ф 444 |
х 445 |
ц 446 |
ч 447 |
ш 448 |
щ 449 |
ъ 44A |
ы 44B |
ь 44C |
э 44D |
ю 44E |
я 44F |
(Показаны только отличающиеся строки, поскольку всё остальное совпадает)
| .0 | .1 | .2 | .3 | .4 | .5 | .6 | .7 | .8 | .9 | .A | .B | .C | .D | .E | .F | |
|---|---|---|---|---|---|---|---|---|---|---|---|---|---|---|---|---|
| A. |
A0 |
¡ A1 |
¢ A2 |
£ A3 |
€ 20AC |
¥ A5 |
¦ A6 |
§ A7 |
Ё 401 |
© A9 |
№ 2116 |
« AB |
¬ AC |
AD |
® AE |
¯ AF |
| B. |
° B0 |
± B1 |
² B2 |
³ B3 |
´ B4 |
µ B5 |
¶ B6 |
· B7 |
ё 451 |
¹ B9 |
º BA |
» BB |
¼ BC |
½ BD |
¾ BE |
¿ BF |
Данная кодировка утверждена стандартом СТ РК 1048—2002 и зарегистрирована в IANA как KZ-1048 [1].
| .0 | .1 | .2 | .3 | .4 | .5 | .6 | .7 | .8 | .9 | .A | .B | .C | .D | .E | .F | |
|---|---|---|---|---|---|---|---|---|---|---|---|---|---|---|---|---|
| 8. |
Ђ 402 |
Ѓ 403 |
‚ 201A |
ѓ 453 |
„ 201E |
… 2026 |
† 2020 |
‡ 2021 |
€ 20AC |
‰ 2030 |
Љ 409 |
‹ 2039 |
Њ 40A |
Қ 49A |
Һ 4BA |
Џ 40F |
| 9. |
ђ 452 |
‘ 2018 |
’ 2019 |
“ 201C |
” 201D |
• 2022 |
– 2013 |
— 2014 |
™ 2122 |
љ 459 |
› 203A |
њ 45A |
қ 49B |
һ 4BB |
џ 45F | |
| A. |
A0 |
Ұ 4B0 |
ұ 4B1 |
Ә 4D8 |
¤ A4 |
Ө 4E8 |
¦ A6 |
§ A7 |
Ё 401 |
© A9 |
Ғ 492 |
« AB |
¬ AC |
AD |
® AE |
Ү 4AE |
| B. |
° B0 |
± B1 |
І 406 |
і 456 |
ө 4E9 |
µ B5 |
¶ B6 |
· B7 |
ё 451 |
№ 2116 |
ғ 493 |
» BB |
ә 4D9 |
Ң 4A2 |
ң 4A3 |
ү 4AF |
| .0 | .1 | .2 | .3 | .4 | .5 | .6 | .7 | .8 | .9 | .A | .B | .C | .D | .E | .F | |
|---|---|---|---|---|---|---|---|---|---|---|---|---|---|---|---|---|
| 8. |
Ђ 402 |
Ѓ 403 |
‚ 201A |
ѓ 453 |
„ 201E |
… 2026 |
† 2020 |
‡ 2021 |
€ 20AC |
‰ 2030 |
Љ 409 |
‹ 2039 |
Ӑ 4D0 |
Ӗ 4D6 |
Ҫ 4AA |
Ӳ 4F2 |
| 9. |
ђ 452 |
‘ 2018 |
’ 2019 |
“ 201C |
” 201D |
• 2022 |
– 2013 |
— 2014 |
™ 2122 |
љ 459 |
› 203A |
ӑ 4D1 |
ӗ 4D7 |
ҫ 4AB |
ӳ 4F3 |
Эта кодировка была официально принята в Татарстане в 1996 г.
| .0 | .1 | .2 | .3 | .4 | .5 | .6 | .7 | .8 | .9 | .A | .B | .C | .D | .E | .F | |
|---|---|---|---|---|---|---|---|---|---|---|---|---|---|---|---|---|
| 8. |
Ә 4D8 |
Ѓ 403 |
‚ 201A |
ѓ 453 |
„ 201E |
… 2026 |
† 2020 |
‡ 2021 |
€ 20AC |
‰ 2030 |
Ө 4E8 |
‹ 2039 |
Ү 4AE |
Җ 496 |
Ң 4A2 |
Һ 4BA |
| 9. |
ә 4D9 |
‘ 2018 |
’ 2019 |
“ 201C |
” 201D |
• 2022 |
– 2013 |
— 2014 |
™ 2122 |
ө 4E9 |
› 203A |
ү 4AF |
җ 497 |
ң 4A3 |
һ 4BB |
Примечания
Ссылки
- История создании кодировки в сообщении Игоря Семенюка в эхоконференции SU.LAN от 14 января 1996


