Оксид графита
Оксид графита (оксид графена) — соединение углерода, водорода и кислорода в различных соотношениях, которое образуется при обработке графита сильными окислителями[1]. Наиболее окисленные формы являются твёрдыми жёлтыми веществами с соотношением C:O в пределах от 2,1 до 2,9.
Существует множество моделей структуры оксида графита. Это обусловлено тем что он является бертоллидом и имеет непростую аморфную структуру, а также отсутствием аналитических методов для характеристики таких материалов.
- Структура Хоффмана состоит из эпоксидных групп, распределённых по плоскости и приписывает оксиду формулу С2O.
- Ресс предложил другой вариант с использованием гидроксильных групп. Базальная плоскость превратилась из sp2- в sp3-гибридизованную систему. Эта формула была создана как аналог таковой в полимере карбон монофторида.
- Модель Шольца-Боема не содержит эпоксидных групп.
- Структура Декани — модификация двух предыдущих.
- Структура Наккадзима-Мацуо является аналогом полимера дикарбон монофторида.
- Новейшая модель Лерфа — Клиновского более сосредоточена на нестехиометрической, аморфной альтернативе[1].
Основную часть оксида графита используют для приготовления дисперсной системы с щелочами для получения мономолекулярных листов, которые называют оксидом графена (по аналогии с графеном, который является однослойной формой графита)[2].
Листы из оксида графена были использованы для создания очень прочного материала, который напоминает бумагу, и как промежуточный продукт для получения графена (по состоянию на 2010 это невозможно, так как графен, полученный этими реакциями, до сих пор имеет многие химические и структурные дефекты)[2].
История открытия
Оксид графита впервые был приготовлен оксфордским учёным Бенджамином Броди в 1859 году при обработке графита смесью хлората калия с азотной кислотой. В 1957 году учёными Вильямом Хаммерсом и Ричардом Офферманом был найден более надёжный, быстрый и эффективный процесс с использованием смеси серной кислоты H2SO4, нитрата натрия NaNO3 и перманганата калия KMnO4[3]. Этот метод всё еще широко распространён и до сих пор используется для синтеза оксида графита.
Недавно смесь H2SO4 и KMnO4 была использована для продольного «разрезания» углеродных нанотрубок[4], в результате чего образовались микроскопические плоские ленты из графена несколько атомов длиной, с «крышами» из атомов кислорода или гидроксильных групп[3].
Оксид графита также может быть приготовлен по методу Тан-Лау, в котором используется глюкоза. Этот метод является более безопасным, более лёгким и более экологически чистым по сравнению с традиционными реакциям с применением сильных окислителей. Другое важное преимущество метода Тан-Лау — это лёгкое управление толщиной[5].
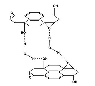
Структура
Структура и свойства оксида графита зависят от конкретного метода синтеза и степени окисленности. Обычно сохраняются слои, как и у графита, но расстояние между ними увеличивается примерно в два раза (~0,7 нм) по сравнению с графитом. Строго говоря, «оксид» является неправильным, но исторически сложившимся названием. Кроме эпоксидных групп есть и другие экспериментально установленные функциональные группы, например, карбонильная, гидроксильная, фенольные. Существуют свидетельства «изгибов» и растрескивания графеновых листов оксида при осаждении слоев на субстрате. Детальная структура до сих пор не понятна из-за сильного расстройства и нерегулярной упаковки слоёв[3].
Толщина графеновых слоёв оксида составляет около 1,1 ± 0,2 нм. При помощи туннельной микроскопии были найдены местные регионы, где атомы кислорода расположены в постоянной решетке 0,27 нм × 0,41 нм, края каждого слоя обрываются карбоксильными и карбонильными группами. Рентгеновская фотоэлектронная спектроскопия показывает наличие атомов углерода в кольцах, не содержащих кислорода (284,8 эВ), C-O (286,2 эВ) в C=O (287,8 эВ) и в O-C=O (289,0 эВ)[6].
Оксид графита легко гидратируется, в результате чего увеличивается межплоскостное расстояние (до 1,2 нм в насыщенном состоянии). Дополнительное количество воды также включается в прослойку из-за высокого давления индуцированных эффектов[7]. Основной продукт поглощает влагу из окружающего воздуха пропорционально влажности. Полное удаление воды очень тяжело, так как нагревание при 60-80 °С приводит к частичному разложению и деградации материала. Подобно воде, оксид графита также легко включает другие полярные растворители, например, спирты (а также ДМФА и N-метилпирролидон). Разделение слоев оксида графита пропорционально размеру молекулы спирта, дополнительные монослои вставляются в структуру при высоком давлении[8].
Оксид графита разлагается при быстром нагревании при умеренно высоких температурах (~280—300 °C) с образованием мелкодисперсного аморфного углерода, немного похожего на активированный уголь. Сажа состоит из тончайших графитовых чешуек толщиной 2—5 нм, диаметр которых может доходить до нескольких сотых долей миллиметра, что зависит от природы исходного графита. Поскольку при этом высвобождается кислород, связанный в виде СО и СO2 в оксиде графита, не исключено, что в решетке графита возникают пустоты атомарных размеров.
Применение
Благодаря специфической двумерной структуре и существованию разных кислородсодержащих функциональных групп оксид графита имеет множество применений в самых разнообразных областях[2].
Гидроксид калия реструктурирует оксид графита, создавая трёхмерную пористую конструкцию. Каждая её стенка имеет атомарную толщину, а площадь поверхности «активированного» оксида графита доходит до 3100 м²/г. Материал также отличается высокой удельной электропроводностью. Диаметр большей части пор в готовых образцах попадает в интервал 0,6—5 нм. В экспериментах суперконденсатор, построенный с использованием нового электродного материала, показал очень хорошие гравиметрические ёмкость и плотность энергии, причём последняя приближалась к показателям свинцово-кислотных аккумуляторов. После 10 000 циклов зарядки/разрядки «активированный» оксид графита продолжал работать на 97 % исходной ёмкости.
При растворении в воде оксид графита расслаивается на слои оксида графена. Полученный раствор фильтруют через специальную мембрану, на которой слои вновь связываются, но уже в гораздо более прочную, чем графит, структуру — графеновую бумагу. Слои обычного графита связаны между собой очень слабо и разрыв связей происходит легко. В графеновой бумаге, напротив, слои переплетаются между собой, поэтому нагрузка может распределяться равномерно по всей структуре, делая её весьма прочной. То, как слои переплетаются, позволяет им слегка смещаться друг относительно друга, делая всю структуру гибкой. Что еще важнее, можно химически управлять свойствами данного материала, изменяя количество кислорода в слоях. Например, уменьшив его, можно сделать бумагу из диэлектрика хорошим проводником. Также планируется внедрять в структуру графеновой бумаги различные полимеры и металлы, создавая композиты, превосходящие по своим свойствам как чистый графен, так и допант.
Большая плоская поверхность оксида графена позволяет одновременно исследовать несколько ДНК-зондов, меченных различными красителями, обеспечивая обнаружение нескольких целевых ДНК в том же растворе. Дальнейший прогресс в поиске сенсоров из оксида графена и ДНК может привести к созданию недорогих систем экспресс-анализа ДНК[9]. В медицине для лечения рака мозга, щитовидной железы, и т. д.
Примечания
Ссылки
- Получен «активированный» оксид графита, улучшающий характеристики суперконденсаторов (англ.). Дата обращения: 24 июня 2013. Архивировано 30 июня 2013 года.
- Графеновая бумага (недоступная ссылка — история). Дата обращения: 24 июня 2013. Архивировано 30 июня 2013 года.


