Комплементарность (ЕГЭ-ОГЭ)
Комплемента́рность — это взаимное соответствие между молекулами биополимеров или их фрагментами, обусловленное образованием связей между пространственно дополняющимися сегментами за счёт супрамолекулярных взаимодействий.
Формы взаимодействия неаллельных генов
Неаллельные гены — это гены, находящиеся в различных участках хромосом и кодирующие разные белки. Они способны взаимодействовать друг с другом.
В этом случае либо один ген определяет развитие нескольких признаков, либо один признак проявляется под влиянием совокупности нескольких генов. Выделяют три формы взаимодействия неаллельных генов.
Существуют три основные формы взаимодействия неаллельных генов: комплементарность, эпистаз, полимерия.
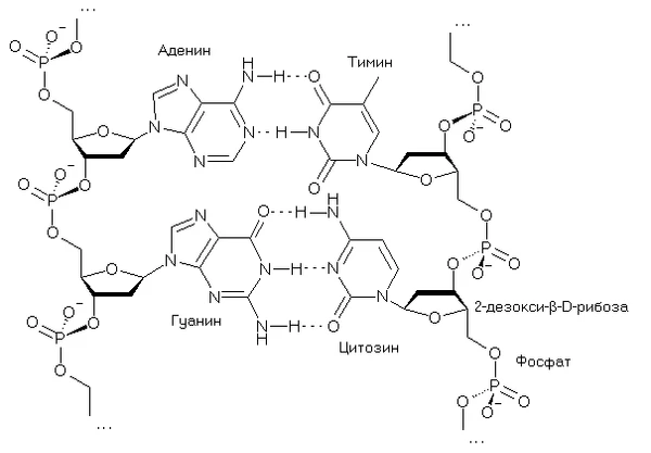
Комплементарность в ДНК
В молекулах ДНК комплементарность выражается в специфическом спаривании азотистых оснований. Аденин (A) образует пару с тимином (T), а гуанин (G) — с цитозином (C). Это достигается за счёт образования водородных связей между основаниями и приводит к формированию двойной спирали ДНК.
Комплементарность оснований играет ключевую роль в:
- Репликации ДНК — процесс удвоения молекулы ДНК перед делением клетки. Каждая её цепь при этом служит матрицей для синтеза комплементарной цепи.
- Транскрипции — образование РНК на основе ДНК. Комплементарные пары оснований обеспечивают точную передачу генетической информации.
- Репарации ДНК — восстановление повреждений в молекуле ДНК.
Заключение
Фундаментальное свойство молекул ДНК — комплементарность — обеспечивает хранение и передачу генетической информации в живых организмах. Законы Менделя формулируют основные принципы наследования признаков, объясняемые на молекулярном уровне комплементарностью ДНК и поведением генов в процессе мейоза. Понимание этих механизмов является ключевым для изучения генетики и биологии наследственности.




