Кинуренин
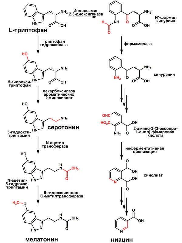
Кинурени́н — β-(ο-аминобензол)-α-аминопропионовая кислота, промежуточный продукт ферментативного распада триптофана и биосинтеза никотиновой кислоты в организме человека. Из триптофана в головном мозгу человека образуется «гормон счастья» серотонин, а в печени — «гормон несчастья» кинуренин[1].
Кинуренин является предшественником пигментов глаз насекомых — оммохромов.
Что важно знать
| Кинуренин | |
|---|---|
| Общие | |
| Систематическое наименование |
β-(ο-аминобензол)-α-аминопропионовая кислота |
| Традиционные названия | Кинуренин |
| Хим. формула | C10H12O3N2 |
| Физические свойства | |
| Молярная масса | 208,22 г/моль |
| Классификация | |
| Рег. номер CAS | 343-65-7 |
| 3D model (JSmol) | Интерактивная схема |
| PubChem | 161166 |
| UNII | 02JW4J5R44 |
| SMILES | |
| InChI | |
| ChEBI | 16946 |
| ChemSpider | 141580 |
Физические свойства
Химические свойства
Устойчив по отношению к кислотам и быстро разлагается при нагревании в слабощелочной среде с отщеплением NH3, CO2 и образованием ο-аминоацетофенона. На этой реакции основан один из методов количественного определения кинуренина.
При переаминировании кинуренина образуется соответствующая α-кетокислота, которая самопроизвольно циклизуется в кинуреновую кислоту.
Получение и синтез
L-изомер кинуренина впервые был выделен в виде труднорастворимого сульфата из мочи кроликов, получавших инъекции триптофана.
Синтез кинуренина основан на окислении триптофана озоном.
Участие в метаболизме
Кинуренин — промежуточный продукт обмена триптофана при его биологическом превращении в никотиновую кислоту[2].
При ферментативном окислении кинуренин превращается в 3-оксикинуренин. Кинуренин и 3-оксикинуренин расщепляются ферментом кинурениназой, содержащим пиридоксаль-5-фосфат, с образованием аланина и антраниловой (соответственно 3-оксиантраниловой) кислоты.
Путь биотрансформации L-триптофана с образованием «кинурениновых» метаболитов играет важнейшую роль в механизмах иммунорегуляции и «негативном» контроле иммунного воспаления[3].
У больных с хронической почечной недостаточностью происходит деградация триптофана, а увеличение вследствие этого уровня кинуренина приводит к его дальнейшему превращению в соединения с нейротоксичными свойствами. Катаболизм триптофана по кинурениновому пути доминирует и сопровождается увеличением концентрации его производных в крови и в периферийных тканях прямо пропорционально глубине почечного повреждения. Уровень кинуренина в плазме крови здорового человека составляет 1,6 мкМ и 2,7 мкМ, а в плазме гемодиализных больных, подвергающихся лечению, его концентрация возрастает в 10 раз. Поэтому обнаружение и количественное определение продуктов метаболизма триптофана (в первую очередь, кинуренина) является одной из важных проблем анализа биологических жидкостей[4].
Также, поскольку кинуренин является основным по количеству продуктом (90—95 %) метаболической деградации триптофана, то особый интерес вызывает поиск средств для купирования алкогольного абстинентного синдрома (похмелья), связанный с изучением возможной роли кинуренина в развитии этого состояния[5].
Примечания
Литература
- Кнунянц И. Л. Краткая химическая энциклопедия. — М.: Советская энциклопедия, 1967. — Т. 2. — С. 569.
- Майстер А. Биохимия аминокислот / Пер. с англ.. — М., 1961.
- Перспективы развития органической химии / Пер. с англ. и нем. Под ред. А. Тодда. — М., 1959.
- Браунштейн А. Е. Биохимия аминокислотного обмена. — М., 1949.


