Азобисизобутиронитрил
Азобисизобутиронитрил (динитрил азобисизомасляной кислоты, ДАК, AIBN) — органическое вещество класса азосоединений и нитрилов. Применяется как инициатор радикальной полимеризации и других реакций со свободнорадикальным механизмом. Представляет собой белый порошок, плохо растворимый в воде и хорошо растворимый в этаноле и других органических растворителях.
Что важно знать
| Азобисизобутиронитрил | |
|---|---|
| Общие | |
| Сокращения | AIBN, ДАК |
| Хим. формула | C8H12N4 |
| Внешний вид | Порошок белого цвета |
| Физические свойства | |
| Молярная масса | 164,21 г/моль |
| Плотность | 1,1 г/см³ |
| Термические свойства | |
| Температура | |
| • плавления | 103–105 °C |
| Химические свойства | |
| Растворимость | |
| • в воде | Практически нерастворим |
| • в метаноле | 5 г/100 мл |
| • в этаноле | 2 г/100 мл |
| • в бензоле | 28 г/100 мл |
| • в ДМСО | 4,6 г/100 мл |
| Классификация | |
| Рег. номер CAS | 78-67-1 |
| 3D model (JSmol) | Интерактивная схема |
| PubChem | 6547 |
| UNII | FZ6PX8U5YB |
| CompTox Dashboard EPA | DTXSID1026457 |
| Рег. номер EINECS | 201-132-3 |
| SMILES | |
| InChI | |
| ChEBI | 189360 |
| ChemSpider | 6599 |
| ECHA InfoCard | 100.001.030 |
Механизм разложения
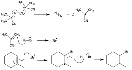
Азобисизобутиронитрил разлагается при нагревании свыше 40 °C с выделением газообразного азота с образованием двух 2-цианопроп-2-ильных радикалов:
Химические свойства
Радикалы, образующиеся при разложении азобисизобутиронитрила, могут инициировать свободнорадикальную полимеризацию и другие реакции, инициированные радикалами. Например, смесь стирола и малеинового ангидрида в толуоле будет полимеризоваться при нагревании с образованием сополимера при добавлении ДАК. Другим примером радикальной реакции, которая может быть инициирована ДАК, является гидрогалогенирование алкенов против правила Марковникова.
ДАК можно использовать в качестве радикального инициатора бромирования в реакции Воля — Циглера.
Как было отмечено выше ДАК, разлагается с образованием 2-циано-2-пропильного радикала при нагревании, который затем отщепляет водород от гидрида трибутилолова. В результате образуется радикал трибутилолова, который можно использовать во многих реакциях. Например, этот радикал можно использовать для удаления брома из алкена.
Реакция начинается с разложения ДАК на 2-циано-2-пропильные радикалы, которые отрывают водород от HBr, оставляя радикал брома. Радикал брома далее присоединяется к алкену. При гидрогалогенировании алкена с использованием ДАК региоселективность галогена происходит против правила Марковникова.
Получение
- Из ацетона, цианида натрия и сульфата гидразина через 2,2'-циангидразо-бис-пропан[1][2]:
- Из ацетонциангидрина и гидразина с последующим окислением[3]:
Применение
- Инициатор радикальной полимеризации[4];
- Соинициатор в реакции Бартона[5];
- Инициатор в реакции Воля-Циглера[5];
- Соинициатор в реакции Дауда[5];
- Соинициатор в реакции Уина-Сторка[5].
Токсикология и безопасность
Азобисизобутиронитрил весьма ядовит, поскольку при термическом разложении ДАК образуется высокотоксичный тетраметилсукционитрил. Однако ДАК гораздо безопаснее в использовании, чем бензоилпероксид, потому что риск взрыва намного меньше. Тем не менее ДАК считается взрывоопасным соединением, интенсивно разлагающимся при температуре выше 65 °C. При его применении рекомендуется использовать респиратор, защитные перчатки и очки.


