Хитозан
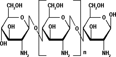
Хитоза́н — аминосахар, производное линейного полисахарида, макромолекулы состоят из случайно связанных β-(1-4) D-глюкозаминовых звеньев и N-ацетил-D-глюкозамин. Получают хитозан из пчелиного хитина, в природе встречается в клеточных стенках клеток грибов отдела Zygomycota (в комплексе с хитином) и панцирях ракообразных. Хитозан — катионный полисахарид основного характера. Достигнут уровень очистки до 85 %.
Что важно знать
| Хитозан | |
|---|---|
| Общие | |
| Традиционные названия | хитозан, деацетилхитин, поли-D-глюкозамин |
| Хим. формула | (С12H22O8N2)n |
| Внешний вид | белый (или слегка кремовый) порошок, растворимый в воде |
| Физические свойства | |
| Примеси | хитин, короткоцепочечные аминосахара |
| Химические свойства | |
| Изоэлектрическая точка | 6,5 |
| Классификация | |
| Рег. номер CAS | 9012-76-4 |
| 3D model (JSmol) | Интерактивная схема |
| PubChem | 71853 |
| UNII | 23R93M6Y64, 5GV09YMO52, 7SRJ3W89J8, 82LKS4QV2Y и SBD1A2I75N |
| CompTox Dashboard EPA | DTXSID6030992 |
| Рег. номер EINECS | 618-480-0 |
| SMILES | |
| InChI |
|
| ChEBI | 16261 |
| ChemSpider | 64870 |
| ECHA InfoCard | 100.122.259 |
Химические свойства
По своей химической структуре хитозан относится к полисахаридам, мономером хитина является N-ацетил-1,4-b-D-глюкопиранозамин.
Молекула хитозана содержит в себе большое количество свободных аминогрупп, что позволяет ему связывать ионы водорода и приобретать избыточный положительный заряд. Отсюда и идёт свойство хитозана, как хорошего анионита.
Это также объясняет способность хитозана связывать и прочно удерживать ионы различных металлов (в том числе и радиоактивных изотопов, а также токсичных элементов).
Хитозан способен образовывать большое количество водородных связей. Поэтому он может связать большое количество органических водорастворимых веществ (бактериальные токсины и токсины, образующиеся в процессе пищеварения).
Хитозан плохо растворим в воде. Это связано с тем, что в воде происходит протонирование NH2-групп, что затрудняет растворение (при этом низкомолекулярный хитозан, например с ММ=20, 38 кДа, является водорастворимым). При этом он довольно хорошо растворяется в растворах соляной и уксусной кислот. В растворах органических дву- и трикарбоновых кислот, например лимонной, щавелевой и янтарной, не растворяется, поскольку данные кислоты образуют межмолекулярные ионные сшивки между аминогрупами соседних цепей хитозана. Может удерживать в своей структуре растворитель, а также растворённые в нём вещества. В растворённом виде хитозан обладает большим сорбирующим эффектом, чем в нерастворённом.
Из-за эффекта молекулярного сита и гидрофобных взаимодействий, хитозан может связывать предельные углеводороды, жиры и жирорастворимые соединения.
Расщепить хитин и хитозан до N-ацетил-D-глюкозамина и D-глюкозамина можно под действием микробных ферментов таких как хитиназы и хитобиазы. Именно благодаря этому хитозан полностью биологически разрушим и не загрязняет окружающую среду.[1]
Производство
Хитозан получают из хитина из панцирей красноногих крабов или из низших грибов путём удаления ацила (карбонового соединения), который придаёт жёсткость хитину.
Хитозан впервые был получен в 1859 году физиологом Шарлем Руже.
Единственным источником хитозана является хитин. В природе встречается в клеточных стенках зигомицетов (в частности — мукор)
Известно, что панцири ракообразных дорогостоящи. Поэтому, несмотря на то, что есть 15 способов получения из них хитина, был поставлен вопрос о получении хитина и хитозана из других источников, среди которых рассматривались мелкие ракообразные и насекомые.
Одомашненные и поддающиеся разведению насекомые в силу своего быстрого воспроизводства могут обеспечить большую биомассу, содержащую хитин.
Применение
На его основе изготавливаются препараты-гемоста́тики, применяемые в кровоостанавливающих повязках, бинтах и шприцах-аппликаторах. Это связано с самой высокой безвредностью хитозана для человеческого организма среди полисахаридов[3].
Хитозан способен в определённой мере связываться с молекулами жира в пищеварительном тракте. Жир, связанный с хитозаном, не усваивается и выводится из организма. Хитозан применяется как средство, способствующее снижению веса, а также для улучшения холестеринового обмена и перистальтики кишечника. Исследования показали, что применение хитозана при ожирении не эффективно[4].
Для хитозана характерны мукоадгезивные свойства, то есть способность к прилипанию к слизистым оболочкам[5]. Эти свойства хитозана активно используются для создания лекарственных форм, поступающих в организм через слизистые оболочки. Хитозан и его производные с успехом используются для доставки лекарств через нос[6], слизистые мембраны глаз[7], а также ротовую полость[8].
Благодаря своей катионной природе, хитозан способен образовывать нерастворимые полиэлектролитные комплексы с анионными полимерами. Эта способность используется в технологиях капсулирования. Показано успешное применение хитозана в качестве покрытий капсул из альгината, содержащих живые бактерии — пробиотики.[9] Такие покрытия позволяют доставлять бактерии в кишечник и защищают их от пагубного действия кислой среды желудка.
Хитозан вызывает интерес исследователей из-за большого разнообразия антибактериальной активности, а также из-за того, что является нетоксичным, наиболее биосовместимым и биоразлагаемым полимерным веществом. Хитозан является хорошим кандидатом на использование в качестве упаковочного материала. Антибактериальные биополимерные плёнки на основе хитозана и различных натуральных продуктов (имбирь, куркумин и корица), которые, как было доказано в исследованиях in vitro, подавляют рост бактерий[10].
Так же имеются сообщения об использовании хитозана в качестве матрицы-носителя аффинной хроматографии[11].
Примечания
Ссылки
- Jamie Fritch, Revolutionizing Weight Loss? (англ.)
- The Chitosanase Web Page (англ.)
- ScienCentral News (англ.)
- A Critical look on Chitosan (англ.)


