Сердечно-сосудистый риск
Сердечно-сосудистый риск — это вероятность развития того или иного неблагоприятного события со стороны сердечно-сосудистой системы (включая смерть от сердечно-сосудистого заболевания или осложнения) в течение определённого периода времени[1] (например, в течение ближайших 10 лет).
По тому, какие сердечно-сосудистые события учитываются в том или ином сердечно-сосудистом риске, можно выделить следующие группы рисков:
| группа риска | риск сердечной смерти | риск нефатального инфаркта миокарда | риск «мягких» проявлений ИБС | риск несердечной сосудистой смерти | риск нефатальных несердечных манифестаций атеросклероза |
|---|---|---|---|---|---|
| риск сердечной смерти | ν | ||||
| риск сердечно-сосудистой смерти | ν | ν | |||
| «жёсткий» («hard») риск ИБС | ν | ν | |||
| глобальный риск ИБС | ν | ν | ν | ||
| глобальный сердечно-сосудистый риск | ν | ν | ν | ν | ν |
ИБС — ишемическая болезнь сердца
Соотношение этих рисков между собой в разных возрастных группах и у разных полов отличается. Поэтому при переводе, к примеру, глобального сердечного риска в «жёсткий» сердечный риск существуют специальные таблицы (уникальные для разных полов), в частности из Wilson 1998[2].
Примерами сердечно-сосудистого риска являются:
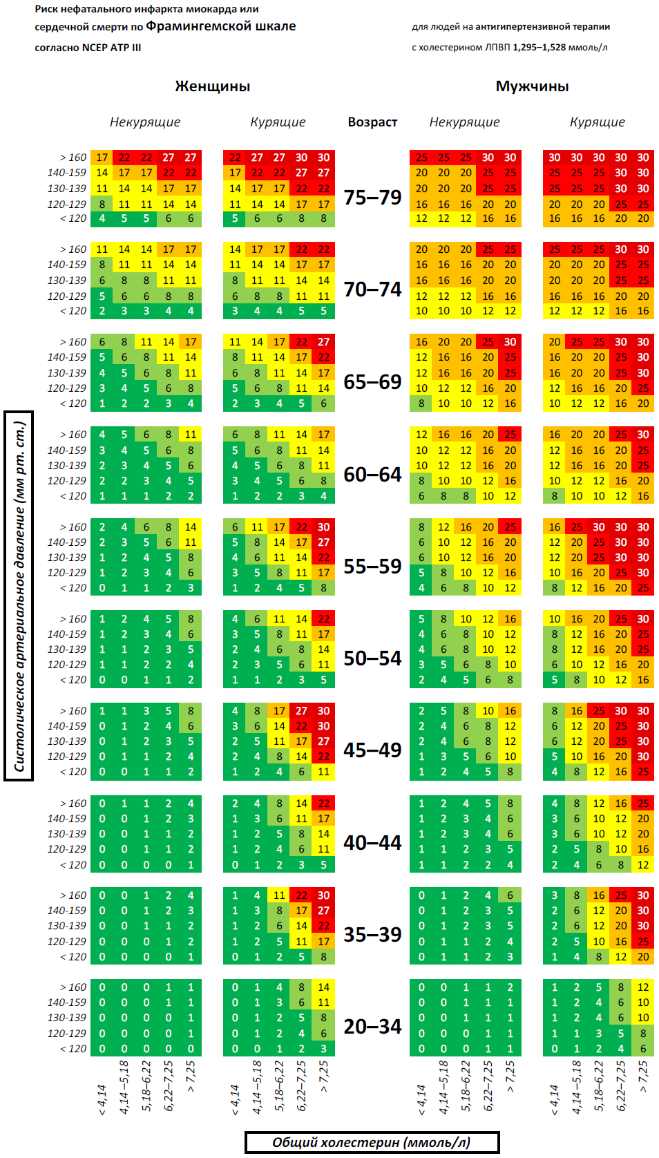
- риск нефатального инфаркта миокарда или смерти от сердечного заболевания в ближайшие 10 лет по Фрамингемской шкале[2]
- риск смерти от сердечно-сосудистого заболевания в ближайшие 10 лет по европейской шкале SCORE[3]
Что важно знать
| Сердечно-сосудистый риск | |
|---|---|
| Автор | European Society of Cardiology[d] |
История
Учитывать абсолютный сердечно-сосудистый риск при выборе «агрессивности» профилактических вмешательств было впервые официально предложено в 1988 году в 1-м отчёте[4] Экспертной группы по лечению взрослых (ATP I) Национальной обучающей программы по холестерину США (NCEP). Впоследствии этот подход был подтверждён во 2-м[5] и 3-м отчёте[6] NCEP ATP и на 27-й конференции в Вифезде[7].
Практическое применение
Градация риска
Согласно 3-му отчёту NCEP ATP[6] выделяют следующие степени риска:
| Риск | «Жёсткий» сердечный риск в ближайшие 10 лет | Оптимальный уровень холестерина ЛПНП |
|---|---|---|
| Высокий | >20 % | < 2,59 ммоль/л |
| Средний | 10—20 % | < 3,37 ммоль/л |
| Низкий | <10 % | < 4,14 ммоль/л |
Следующие заболевания автоматически переводят человека в группу высокого риска[6]:
- Перенесённый в прошлом инфаркт миокарда
- Стенокардия напряжения
- Перенесённая в прошлом транзиторная ишемическая атака или ишемический инсульт, связанные с бассейном сонной артерии
- Стеноз сонной артерии > 50 %
- Аневризма брюшного отдела аорты
- Перемежающаяся хромота и другой манифестированный периферический атеросклероз
- Сахарный диабет (1-го или 2-го типа)
Все перечисленные состояния, кроме первых двух, называются эквивалентами ишемической болезни сердца, потому что «жёсткий» сердечный риск при них как правило превышает 20 %[6]. А первые два являются проявлениями ишемической болезни сердца.
Шкалы
Разработана на основании обширного эпидемиологического исследования, проводившегося на протяжении более 12 лет в небольшом городке Фрамингем около Бостона (штат Массачусетс, США). Хотя эта шкала разрабатывалась для американской популяции, была продемонстрирована[10] её применимость в Европе и некоторых других популяциях после соответствующей калибровки. Первая рабочая группа Европейского общества кардиологии, Европейского общества атеросклероза и Европейского общества артериальной гипертензии в 1994 году положила Фрамингемскую шкалу в основу расчёта риска сердечно-сосудистых событий в своих рекомендациях по профилактике ишемической болезни сердца[8]. Эта же шкала использовалась и в рекомендациях второй европейской рабочей группы в 1998 году[11] и в 3-м отчёте NCEP ATP 2002 года. Рекомендации последнего действуют в США по настоящее время[6]. Важно обратить внимание на то, что если в американских рекомендациях (3-м отчёте NCEP ATP) для определения высокого риска использовалась граница 20 % в ближайшие 10 лет по жёсткому сердечному риску, то в европейских рекомендациях до 2003 года та же граница (20 % в ближайшие 10 лет) использовалась по отношению к глобальному сердечно-сосудистому риску.
В Европе в 2003 году на основании 12 когортных исследований и данных по 205178 пациентам была создана шкала SCORE[3]. Она заменила Фрамингемскую шкалу в рекомендациях[12] 3-й Европейской рабочей группы по профилактике сердечно-сосудистых заболеваний в 2003 году, и её интерпретация была скорректирована в рекомендациях 4-й Европейской рабочей группы в 2007 году[1]. В частности на основании данных когортного исследования проекта MONICA было изменено примерное соотношение между десятилетним риском сердечно-сосудистой смерти и глобальным сердечно-сосудистым риском. Если в рекомендациях 2003 года понятие высокого риска сердечно-сосудистой смерти (>5 % в ближайшие 10 лет) было соотнесено с глобальным риском сердечно-сосудистого события >20 % (в ближайшие 10 лет), то в рекомендациях 2007 года 5 % риск смерти уже приравнивался к 10%-му глобальному риску. Тем не менее понятие высокого риска (как и в рекомендациях от 2003 года определённое по риску смерти >5 % в ближайшие 10 лет) продолжало служить критерием для достижения целевого уровня холестерина ЛПНП («плохого холестерина») <2,5 ммоль/л. Это событие значимо отдалило в 2007 году европейские рекомендации от рекомендаций американских, где показанием для столь значимого снижения холестерина с 2002 года остаётся риск нефатального инфаркта миокарда или сердечной смерти >20 %[13].
Примеры
- Пример № 1.
- Для уменьшения сердечно-сосудистого риска и риска онкологических заболеваний у некого господина Х имеется 100 у.е. По специальной шкале был рассчитан риск смерти от сердечно-сосудистого заболевания у господина Х в ближайшие 10 лет. Он составил 8 %. А риск умереть от онкологического заболевания был оценён на 4 %. В наличии имеются два эффективных профилактических вмешательства. Вмешательство А уменьшает риск смерти от сердечно-сосудистого события на 25 % относительно имеющегося абсолютного риска. Вмешательство Б уменьшает риск смерти от онкологического заболевания на 75 % относительно имеющегося абсолютного риска. Каждое вмешательство стоит 100 у.е. Из-за ограниченности средств господин X должен выбрать одно из этих вмешательств. Если он выберет вмешательство А, он снизит риск смерти от сердечно-сосудистого заболевания на четверть от того риска, который у него был, то есть на 2 %. Если он выберет вмешательство Б, то снизит риск смерти от онкологического заболевания на три четверти от того риска, который у него был в начале, то есть на 3 %. Эта оценка показывает, что инвестиция во вмешательство Б является более эффективной, чем во вмешательство А. На данном примере видно, что оценка сердечно-сосудистого риска у данного конкретного человека позволила выбрать оптимальный способ профилактики. Хотя существует известный и эффективный способ профилактики смерти от сердечно-сосудистых заболеваний, у господина Х вложение ограниченных ресурсов в этот метод не является наиболее эффективным в профилактике смерти от любой причины.
- Пример № 2.
- В продаже имеется эффективное лекарство, которое препятствует свёртыванию крови и поэтому уменьшает риск образования тромбов и при постоянном приёме снижает риск нефатального инфаркта миокарда и сердечной смерти на 40 % относительно имеющегося риска. Но при этом данное лекарство даёт абсолютное увеличение риска тяжёлого кровотечения из желудочно-кишечного тракта и смерти от этого кровотечения на 5 % в ближайшие 10 лет. По Фрамингемской шкале риск нефатального инфаркта миокарда или сердечной смерти в ближайшие 10 лет у господин Y составил 10 %, а у господина Z — 20 %. Таким образом, данное лекарство может снизить риск у господина Y на 4 % и у господина Z на 8 %. Риск кровотечения и смерти от кровотечения у обоих возрастёт на 5 %. У господина Y вероятность развития тяжёлого осложнения от приёма лекарства больше снижения сердечно-сосудистого риска, а у господина Z — меньше. Поэтому господин Y от данного лекарства получит больше вреда, чем пользы, а у господина Z это лекарство окажется оптимальным способом профилактики.




