Резорцин
Резорци́н (резорцинол, 1,3-дигидроксибензол, мета-дигидроксибензол) — органическое соединение c химической формулой С6H4(OH)2, двухатомный фенол.
Бесцветные кристаллы со специфическим запахом.
Изомерен пирокатехину (орто-дигидроксибензол) и гидрохинону, (пара-дигидроксибензол) отличаясь от них лишь относительным расположением гидроксильных групп.
Что важно знать
| Резорцин | |
|---|---|
| Общие | |
| Традиционные названия | резорцин |
| Хим. формула | С6H4(OH)2 |
| Физические свойства | |
| Состояние | твёрдое |
| Молярная масса | 110,1 г/моль |
| Плотность | 1,27 г/см³ |
| Энергия ионизации | 8,63 ± 0,01[1] |
| Термические свойства | |
| Температура | |
| • плавления | 110 °C |
| • кипения | 280,8 °C |
| • вспышки | 127 °C |
| Пределы взрываемости | 1,4 ± 0,1[1] |
| Удельная теплота испарения | 862000 Дж/кг |
| Давление пара | 0,0002 ± 0,0001[1] и 1 |
| Химические свойства | |
| Константа диссоциации кислоты | 9,15; 11,33 |
| Растворимость | |
| • в воде | 140 г/100 мл |
| • в бензоле | 1,93 г/100 мл |
| Структура | |
| Дипольный момент | 2,70 Д |
| Классификация | |
| Рег. номер CAS | 108-46-3 |
| 3D model (JSmol) | Интерактивная схема |
| PubChem | 5054 |
| UNII | YUL4LO94HK |
| CompTox Dashboard EPA | DTXSID2021238 |
| Рег. номер EINECS | 203-585-2 |
| SMILES | |
| InChI | |
| RTECS | VG9625000 |
| ChEBI | 27810 |
| Номер ООН | 2876 |
| ChemSpider | 4878 |
| ECHA InfoCard | 100.003.260 |
Получение
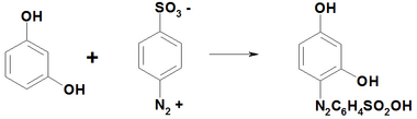
Получают сульфированием бензола и затем сплавлением 1,3-бензолдисульфокислоты с щелочью, в частности едким натром[2].
Другие мета-замещённые производные бензола, например, 1,3-бромфенол, 1,3-бензолсульфокислота при сплавлении со щёлочью дают резорцин.
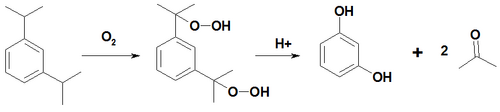
Также его получают окислением 1,3-диизопропилбензола кислородом воздуха с последующим кислотным гидролизом образующегося бисгидропероксида до резорцина и ацетона.
Химические свойства
Резорцин обладает свойствами фенолов. С щелочами образует соли — феноляты, с диметилсульфатом даёт монометиловый эфир резорцина и диметиловый эфир резорцина[3].
При взаимодействии с аммиаком образует 3-аминофенол.
Взаимное влияние двух групп ОН обеспечивает легкость вступления резорцина в реакции электрофильного замещения главным образом в положения 4(6), труднее — в положение 2. Так при взаимодействии с хлором и бромом образует 2,4,6-тригалогензамещенные, йодирование одним эквивалентом йода в водном растворе бикарбоната натрия ведет к образованию 2-йодрезоорцина с выходом 66%[4].
При действии азотистой кислоты на резорцин образуется 4-нитрозорезорцин, который конденсируется при окислении с резорцином с образованием резазурина[5]:
При взаимодействии с концентрированной азотной кислотой (d=1.4 г/см3) и концентрированной серной кислоты нитруется до 2,4,6-тринитрорезорцина (стифниновой кислоты).
Резорцин легко вступает в реакции азосочетания, например с диазотированной сульфаниловой кислотой дает краситель резорциновый жёлтый.
С фталевым ангидридом в присутствии хлорида цинка (175—196°С) конденсируется с образованием флуоресцеина.
С ледяной уксусной кислотой в присутствии хлорида цинка при 145 °C образует ацетофеноны.
Восстанавливает фелингову жидкость и аммиачный раствор хлорида серебра.
С пикриновой кислотой дает пикрат, т. пл. 89-90 °C.
Цветная реакция на резорцин: при взаимодействии с FeCl3 появляется темно-фиолетовое окрашивание, переходящее в чёрное.
При неправильном хранении резорцин из-за легкой склонности к окислению приобретает розовато-оранжевый цвет.
Применение
Резорцин применяется в производстве синтетических красителей, некоторых полимеров (например, резорцино-альдегидных смол), в медицине как обеззараживающее средство при лечении кожных заболеваний, из-за дубящих свойств вещества.
Как реагент для колориметрического определения фурфурола, углеводов, Zn, Pb и других элементов. Также применяется при производстве пластификаторов и в качестве поглотителя ультрафиолетового излучения в полимерах.
Является сырьем для производства стифниновой кислоты и других ВВ.
В прошлом резорцин-формалиновая паста использовалась в стоматологии для герметизации каналов зубов[источник не указан 1941 день]. В настоящее время редко используется из-за многочисленных побочных эффектов.
Безопасность
Пыль и пары резорцина раздражают кожу и слизистые оболочки глаз и дыхательных путей, вызывают кашель[6].
См. также
Примечания
Литература
- Диденко С. И. Резорцин // Химическая энциклопедия : в 5 т. / Гл. ред. Н. С. Зефиров. — М.: Большая Российская энциклопедия, 1995. — Т. 4: Полимерные — Трипсин. — С. 228. — 639 с. — 40 000 экз. — ISBN 5-85270-039-8.


