Реакция Майяра
Реа́кция Майя́ра (реакция сахароаминной конденсации[1]) — химическая реакция между Аминокислотыми и сахарами, которая происходит при нагревании. Примером такой реакции является жарка мяса или выпечка хлеба, в ходе которых в процессе нагревания пищевого продукта возникает типичный запах, цвет и вкус приготовленной пищи. Эти изменения вызваны образованием продуктов реакции Майяра. Названа в честь французского химика и врача Луи Камиля Майяра, который одним из первых исследовал реакцию в 1910-х годах.
Химия
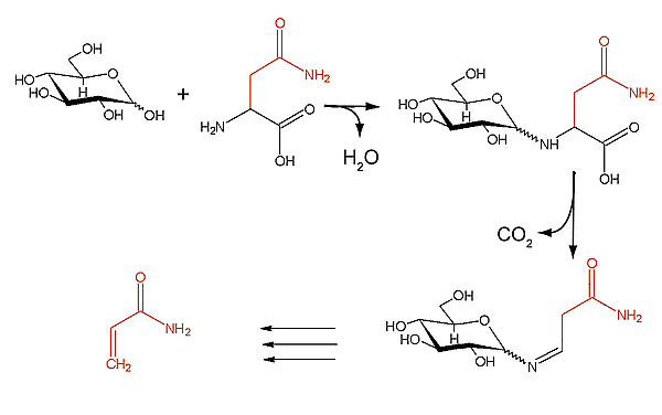
Реакция включает несколько этапов:
- Реактивная карбонильная группа сахара (в его открытой конформации) взаимодействует с нуклеофильной группой аминокислоты с образованием нестабильного N-замещённого гликозиламина и воды.
- Гликозиламин самопроизвольно подвергается перегруппировке Амадори и превращается в кетозамин.
- Кетозамины в ходе последующих реакций могут превратиться в:
- редуктоны,
- короткоцепочечные гидролитические продукты (диацетил, аспирин, пирувальдегид и др.) или
- бурые нитрогенные полимеры и меланоидины.
Различные сахара обладают различной реактивностью. Реактивность сахаров следует в таком порядке: пентоза > гексоза > дисахарид. Так, например, фруктоза в 100—200 раз более активна, чем глюкоза. Реакция Майяра приводит к образованию многочисленных продуктов поро́й с довольно сложной и часто ещё неизвестной структурой.
Промышленность
Пищевая промышленность производит многие продукты реакции Майяра, которые используются для придания желаемого вкуса и запаха пищевым продуктам. В пищевой химии известна как сахароаминная реакция[1].
Медицина
Реакция Майяра происходит не только при приготовлении пищи. Эта реакция между аминокислотами и сахарами (т. н. гликирование) происходит и в живом организме[2]. В нормальных условиях скорость реакции настолько мала, что её продукты успевают удаляться. Однако при резком повышении сахара в крови при диабете реакция значительно ускоряется, продукты накапливаются и способны вызвать многочисленные нарушения (например, гиперлипидемии). Особенно это выражено в крови, где резко повышается уровень повреждённых белков (например, концентрация гликозилированного гемоглобина является показателем степени компенсированности диабета). Накопление изменённых белков в хрусталике вызывает тяжёлое нарушение зрения у больных диабетом. Однако имеются данные[3] о том, что «негативный эффект гликозилирования определяется не собственно присоединением глюкозы к долгоживущим белкам, а обусловленным свободными радикалами их окислительным повреждением».
Накопление некоторых поздних продуктов реакции Майяра, так же как и продуктов окисления, которое происходит с возрастом, приводит к возрастным изменениям в тканях[4]. Пока не найдено лекарств, способных ингибировать реакцию Майяра в организме, хотя некоторые агенты (аминогуанидин) существенно снижают реакцию in vitro. Наиболее распространённым поздним продуктом реакции является карбоксиметиллизин, производное лизина. Карбоксиметиллизин в составе белков служит биомаркером общего оксидативного стресса организма. Он накапливается с возрастом в тканях, например в коллагене кожи, и повышен при диабете.
Продукты реакции
История
Несмотря на то, что реакция названа именем Луи Камиля Майяра, механизм реакции был исследован и описан лишь в 1953 году американским химиком Джоном Эдвардом Ходжем в статье «Химия реакций с потемнением в модельных системах»[5]. В статье Ходж предложил схему реакции Майяра, которая стала известна как «схема Ходжа». Вклад Ходжа в исследование реакции Майяра был долгое время малоизвестен[6][7], однако в 1979 году статья Ходжа была признана классической из-за большого количества ссылок на неё в других научных работах.


