Реакция Вильсмейера — Хаака
Реакция Вильсмейера — Хаака — реакция, используемая для введения альдегидной группы -CHO в ароматическое кольцо, активированное диалкиламино-, гидрокси- или алкоксигруппой. Была открыта в 1927 году Антоном Вильсмейером и Альбрехтом Хааком[1][2][3].
Общая информация
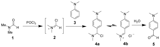
Представляет собой химическое взаимодействие замещённого амида (1) с оксихлоридом фосфора и ареном (3) для получения ароматического альдегида или кетона (5). Промежуточный продукт — хлориминиевая соль (также называемая реагентом Вильсмейера) при необходимости может быть выделена в индивидуальном виде, например, при взаимодействии диметилформамида с фосгеном. Однако обычно её не выделяют и используют непосредственно после образования. N-Алкиламиды муравьиной кислоты -диметилформамид и N-метилформамид — в присутствии хлорокиси фосфора являются превосходными региоселективными формилирующими агентами. С помощью этих реагентов альдегидная группа вводится в пара-положение по отношению к активирующей группе. Эту реакцию можно также рассматривать как ацилирование, где роль катализатора (кислоты Льюиса) выполняют хлорокись фосфора POCl3, тионилхлорид SOCl2, фосген COCl2. Наиболее эффективна система ДМФА—POCl3, в которой ДМФА служит и реагентом, и растворителем. Электрофильным агентом в реакции Вильсмейера — Хаака является иминиевая соль[4].
Механизм
При реакции амида с оксихлоридом фосфора образуется электрофил — катион иминия. Последующее электрофильное ароматическое замещения приводит к иону иминия (промежуточное соединение), который подвергается гидролизу с получением целевого ароматического кетона или альдегида[5].
Применение
Реакция Вильсмейера — Хаака проста в экспериментальном отношении и обеспечивает очень высокие выходы ароматических альдегидов, содержащих NR2-, OR- и ОН-группы. Она оказывается практически ценной при формилировании конденсированных ароматических углеводородов — антрацена, азулена, пирена и др., а также разнообразных гетероциклических соединений ряда фурана, тиофена, пиррола, индола[4].
Зачастую в реакции Вильсмейера — Хаака используют тот факт, что оксохлорид фосфора также является хорошим хлорирующим агентом. В таком случае удаётся одновременно провести и формилирование и хлорирование ароматического спирта.



