Пиридазин
Пиридазин (1,2-диазин, ойазин) — ароматическое гетероциклическое соединение, представитель диазинов. Является производным бензола, у которого два соседних атома углерода замещены на атомы азота.
Общие сведения
Пиридазин
| |
|---|---|
Общие
| |
| Хим. формула | C₄H₄N₂ |
Физические свойства
| |
| Молярная масса | 80,09 г/моль |
| Плотность | 1,1054 г/см³ |
Термические свойства
| |
| Т. плав. | −8 ℃ |
| Т. кип. | 208 ℃ |
| Энтальпия образования | −278,4 кДж/моль |
Оптические свойства
| |
| Показатель преломления | 1,5218 |
Классификация
| |
| Номер CAS | 289-80-5 |
| PubChem | 9259 |
| ChemSpider | 8902 |
| Номер EINECS | 206-025-5 |
| ChEBI | 30954 |
C1=CC=NN=C1
| |
InChI=1S/C4H4N2/c1-2-4-6-5-3-1/h1-4H
| |
| Приводятся данные для стандартных условий (25 ℃, 100 кПа), если не указано иное. | |
Физические и химические свойства
Пиридазин представляет собой бесцветную жидкость, растворимую в воде, диэтиловом эфире, бензоле и спиртах, но нерастворимую в предельных углеводородах.
Пиридазин является более слабым основанием (pKB=2,33), чем пиридин (pKB=5,23), вследствие электроноакцепторного влияния второго атома азота. Обычно протонируется только один атом азота молекулы пиридазина, второй атом азота может протонироваться только в концентрированных растворах кислот.
В реакции электрофильного замещения пиридазин вступает с большим трудом, в реакции нитрования, сульфирования, галогенирования и ацилирования практически не вступает. С алкилгалогенидами образует соответствующие N-соли.
Реагирует с нуклеофильными реагентами более активно, чем пиридин, например, в реакции Чичибабина. Гидрируется также легче, чем пиридин, образуя тетраметилендиамин:
С сильными окислителями практически не реагирует. С надкислотами и пероксидом водорода образует N-оксид.
Получение и применение
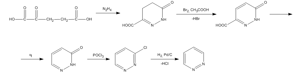
Пиридазин синтезируют реакцией гидразина с a-кетоглутаровой кислотой по следующей схеме:
Аналогичным способом получают также производные пиридазина.
Пиридазин и его производные используются в органическом синтезе. Они используются как гербициды, антивирусные и антибактериальные средства.
Литература
- Химическая энциклопедия / Редкол.: Кнунянц И.Л. и др.. — М.: Советская энциклопедия, 1992. — Т. 3 (Мед-Пол). — 639 с. — ISBN 5-82270-039-8.
- О. Я. Нейланд. Органическая химия. — М.: Высшая школа, 1990. — 751 с. — 35 000 экз. — ISBN 5-06-001471-1.