Магдебургские полушария
Магдебургские полушария — эксперимент немецкого физика Отто фон Герике для демонстрации силы давления воздуха и изобретённого им воздушного насоса[1][2].
В эксперименте использовались «два медных полушария около 14 дюймов (35,5 см) в диаметре, полые внутри и прижатые друг к другу». Из собранной сферы выкачивался воздух, и полушария удерживались давлением внешней атмосферы.
В 1654 году в Регенсбурге фон Герике продемонстрировал эксперимент Рейхстагу в присутствии императора Фердинанда III. После выкачивания из сферы воздуха 16 лошадей, по 8 с каждой стороны, не смогли разорвать полушария. Неизвестно, использовались ли лошади с обеих сторон для большей зрелищности или по незнанию самого физика, ведь можно было заменить половину лошадей неподвижным креплением, без потери силы воздействия на полушария[3].
В 1656 году Герике повторял эксперимент в Магдебурге, а в 1663-м — в Берлине с 24 лошадьми.
Оригинальные полушария хранятся в Немецком музее в Мюнхене.
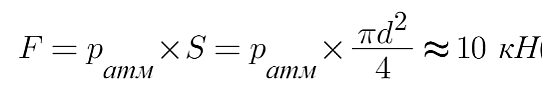
Вычисление силы, сдавливающей два полушария
Примечания
Литература
- Маркина Л. Г., Муравлёва Е. Н., Муравлёва Н. В. MAGDEBURGER HALBKUGELN МАГДЕБУРГСКИЕ ПОЛУШАРИЯ // Культура Германии: лингвострановедческий словарь: свыше 5000 единиц / под общ. ред. проф. Н. В. Муравлёвой. — М.: АСТ, 2006. — С. 604—605. — 1181 с. — 3000 экз. — ISBN 5-17-038383-5.
Ссылки
- Магдебургские полушария // Энциклопедический словарь Брокгауза и Ефрона : в 86 т. (82 т. и 4 доп.). — СПб., 1890—1907.


