C3-линеаризация
C3-линеаризация суперкласса (англ. C3 superclass linearization) — алгоритм, используемый преимущественно для получения устойчивой линеаризации иерархии множественного наследования в объектно-ориентированном программировании. Данная линеаризация используется для определения порядка, в котором должны наследоваться методы, что часто в англоязычной литературе обозначается как «MRO» (сокращение от «Method Resolution Order», то есть «порядок разрешения метода»). C3 в названии указывает на три главные особенности итоговой линеаризации: устойчивый и расширяющийся (по старшинству) граф, сохранение локального порядка старшинства, а также монотонность. Данная теория впервые была представлена в 1996 году в рамках конференции OOPSLA, в документе, озаглавленном «Монотонная линеаризация суперкласса для языка Dylan»[1]. Впоследствии данный алгоритм был выбран как алгоритм по умолчанию для разрешения методов в языке программирования Python 2.3 (и последующих версиях), Perl 6 и виртуальной машине Parrot. Он также доступен в виде альтернативы (не являясь MRO по умолчанию) в ядре Perl 5, начиная с версии 5.10.0. Расширенная реализация для более ранних версий Perl 5 носит название Class::C3 и существует в CPAN.
Для
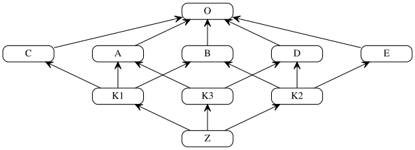
class O class A extends O class B extends O class C extends O class D extends O class E extends O class K1 extends A, B, C class K2 extends D, B, E class K3 extends D, A class Z extends K1, K2, K3
Линеаризация Z считается как
L(O) := [O] // линеаризация O тривиальна, это список из одного элемента [O], потому что у O нет родителей
L(A) := [A] + merge(L(O), [O]) // линеаризация A это A плюс соединение линеаризаций родителей А и родителей А
= [A] + merge([O], [O])
= [A, O]
L(B) := [B, O] // линеаризация B, C, D и E
L(C) := [C, O]
L(D) := [D, O]
L(E) := [E, O]
L(K1) := [K1] + merge(L(A), L(B), L(C), [A, B, C]) // вначале найдем линеаризации родителей K1: L(A), L(B) и L(C); и соединим их со списком из родителей [A, B, C]
= [K1] + merge([A, O], [B, O], [C, O], [A, B, C]) // класс A подходит для первого шага merge, потому что он появляется только в начале всех списков
= [K1, A] + merge([O], [B, O], [C, O], [B, C]) // класс O не подходит, так как он содержится в хвостах списков 2 и 3, но...
= [K1, A, B] + merge([O], [O], [C, O], [C])
= [K1, A, B, C] + merge([O], [O], [O]) // в конце концов, класс O остается единственным и последним кандидатом
= [K1, A, B, C, O]
L(K2) := [K2] + merge(L(D), L(B), L(E), [D, B, E])
= [K2] + merge([D, O], [B, O], [E, O], [D, B, E]) // выбрать D
= [K2, D] + merge([O], [B, O], [E, O], [B, E]) // O не подходит, выбрать B
= [K2, D, B] + merge([O], [O], [E, O], [E]) // O не подходит, выбрать E
= [K2, D, B, E] + merge([O], [O], [O]) // выбрать O
= [K2, D, B, E, O]
L(K3) := [K3] + merge(L(D), L(A), [D, A])
= [K3] + merge([D, O], [A, O], [D, A])
= [K3, D] + merge([O], [A, O], [A])
= [K3, D, A] + merge([O], [O])
= [K3, D, A, O]
L(Z) := [Z] + merge(L(K1), L(K2), L(K3), [K1, K2, K3])
= [Z] + merge([K1, A, B, C, O], [K2, D, B, E, O], [K3, D, A, O], [K1, K2, K3]) // выбрать K1
= [Z, K1] + merge([A, B, C, O], [K2, D, B, E, O], [K3, D, A, O], [K2, K3]) // A не подходит, выбрать K2
= [Z, K1, K2] + merge([A, B, C, O], [D, B, E, O], [K3, D, A, O], [K3]) // A не подходит, D не подходит, выбрать K3
= [Z, K1, K2, K3] + merge([A, B, C, O], [D, B, E, O], [D, A, O]) // A не подходит, выбрать D
= [Z, K1, K2, K3, D] + merge([A, B, C, O], [B, E, O], [A, O]) // выбрать A
= [Z, K1, K2, K3, D, A] + merge([B, C, O], [B, E, O], [O]) // выбрать B
= [Z, K1, K2, K3, D, A, B] + merge([C, O], [E, O], [O]) // выбрать C
= [Z, K1, K2, K3, D, A, B, C] + merge([O], [E, O], [O]) // O не подходит, выбрать E
= [Z, K1, K2, K3, D, A, B, C, E] + merge([O], [O], [O]) // выбрать O
= [Z, K1, K2, K3, D, A, B, C, E, O] // ответ
Обозначения:
L(Class) - линеаризация класса Class [A,B,C] - список из трех элементов, где голова это A, а хвост [B,C] merge - слияние списков
Функция merge осуществляет слияние списков таким образом, чтобы каждый элемент встречался в результате ровно один раз, этим она похожа на слияние множеств, но тут важен порядок следования элементов в списке. Функция merge работает следующим образом - она перебирает списки-аргументы по порядку упоминания (слева направо), выбирая первый элемент, который может быть первым в нескольких списках, но нигде не упоминается вторым и далее, и перемещает его в список-результат, исключая из списков-аргументов, повторяя эту процедуру несколько раз, пока все элементы не переместятся из списков-аргументов в список-результат. Если на каком-то этапе возникает ситуация, что нельзя выбрать элемент-кандидат, удовлетворяющий указанному условию, т.е. если во всех списках-аргументах первые элементы встречаются в других списках-аргументах не первыми, итоговый список не создаётся.
Примечания
- ↑ “A Monotonic Superclass Linearization for Dylan”. OOPSLA '96 Conference Proceedings. ACM Press. 1996-06-28. pp. 69—82. DOI:10.1145/236337.236343. ISBN 0-89791-788-X. Архивировано из оригинала 2000-08-17. Дата обращения 2009-12-14. Используется устаревший параметр
|deadlink=(справка); Параметры|deadurl=и|deadlink=дублируют друг друга (справка); Некорректное значение|dead-url=404(справка) Архивная копия от 17 августа 2000 на Wayback Machine
Ссылки
- Использование C3 MRO в Python 2.3 (англ.)
- Perl 6 будет использовать C3 MRO (англ.)
- Parrot использует C3 MRO (англ.)
- C3 MRO доступна в Perl 5.10 (англ.)
- Расширение Perl 5 для C3 MRO в CPAN (англ.)


