Тетразол
Тетразол — пятичленный ароматический гетероцикл с четырьмя атомами азота (CH2N4). Бесцветные листовидные кристаллы, растворимые в воде, ацетоне, этаноле.
Общие сведения
| Тетразол | |
|---|---|
| Общие | |
| Хим. формула | CH2N4 |
| Физические свойства | |
| Молярная масса | 70.05 г/моль |
| Классификация | |
| Рег. номер CAS | 288-94-8 |
| 3D model (JSmol) | Интерактивная схема |
| PubChem | 67519 |
| CompTox Dashboard EPA | DTXSID5075280 |
| Рег. номер EINECS | 206-023-4 |
| SMILES | |
| InChI | |
| ChEBI | 33193 |
| ChemSpider | 60842 |
| ECHA InfoCard | 100.005.477 |
Свойства и синтез
Проявляет амфотерные свойства, протонируясь по азоту N4 и отщепляя протон от атома N1 (рКа — 2,68). Образует аддукты с солями переходных металлов (AgNO3, HgCl2).
Впервые был синтезирован реакцией синильной кислоты с азотистоводородной кислотой в этаноле[1].
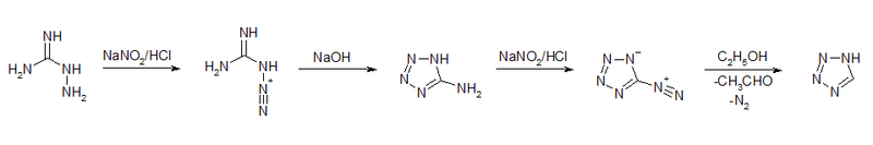
Препаративный метод синтеза тетразола — дезаминирование 5-аминотетразола, получаемого нитрозированием аминогуанидина с дальнейшей циклизацией образовавшегося азида, действием азотистой кислоты в спиртовом растворе[2][3]:
Применение
Производные тетразола используются как взрывчатые вещества (напр. комплексы 5-нитротетразола), лекарственные препараты (коразол).
Некоторые производные тетразола, например MTT, применяемый в биохимическом анализе (см. МТТ-тест).
5-аминотетразол применяется как компонент газогенератора в автомобильных подушках безопасности.
Литература
- «Химическая энциклопедия» т. 4 М.: Советская энциклопедия, 1995 стр. 554
- «Гетероциклические соединения», т. 8, под ред. Эльдерфилда Р., М.: Мир, 1969 стр. 8