Реакция Пассерини
Реакция Пассерини — трехкомпонентная реакция между карбоновой кислотой, карбонильным соединением (альдегидом или кетоном) и изоцианидом, продуктом которой является α-гидроксикарбоксамид[1][2][3].
Реакция была открыта итальянцем Марио Пассерини из Флоренции в 1921 году. Это была первая многокомпонентная реакция с участием изоцианида; сейчас эта реакция играет центральную роль в комбинаторной химии[4].
Недавно Денмарк и соавторы (Denmark et al.) разработали энантеоселективный катализатор для асимметричных реакций Пассерини[5].
Механизм реакции
Было выдвинуто два возможных механизма реакции.
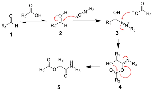
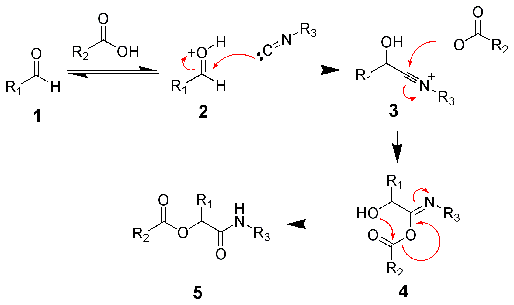
В полярных растворителях, таких как метанол или вода, реакция происходит через протонирование карбонильной группы и последующего нуклеофильного присоединения изоцианида с образованием нитрилиевой соли (алкилированного циангидрина) 3. Присоединение карбоксилат-аниона даёт интермедиат 4. Перенос ацильной группировки и таутомеризация амидной приводит к образованию требуемого сложного эфира 5.
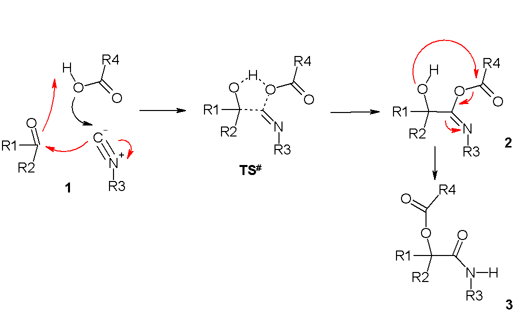
В неполярных растворителях и при высоких концентрациях вероятно, реакция протекает по согласованному механизму[6]:
Этот механизм заключается в тримолекулярной реакции между изоцианидом (R-NC), карбоновой кислотой и карбонильным соединением в серии нуклеофильных присоединений. Переходное состояние TS# описывают как пятичленное кольцо с частичной ковалентной или двойной связью. Второй шаг реакции Пассерини — перенос ацильной группы на близлежащую гидроксильную группы. Существую факты в пользу такого механизма: реакция протекает в относительно неполярном растворителе (в соответствии с переходным состоянием) и кинетика реакции зависит от концентрации всех трёх реагентов. Эта реакция служит хорошим примером конвергентного синтеза.
Применение
Реакцию Пассерини используют во многих многокомпонентных реакциях, например, она идёт сразу после реакции Хорнера-Водсворта-Эммонса в синтезе депсипептида[7]:
Многокомпонентные реакции Пассерини нашли применение в синтезе полимеров из возобновляемых материалов[8].




