Реакции нуклеофильного присоединения
Реакции нуклеофильного присоединения (англ. nucleophilic addition reaction) — реакции присоединения, в которых атаку на начальной стадии осуществляет нуклеофил — частица, заряженная отрицательно или имеющая свободную электронную пару. На конечной стадии образующийся карбанион подвергается электрофильной атаке.
Несмотря на общность механизма различают реакции присоединения по связи углерод-углерод и углерод-гетероатом.
Общий вид реакций присоединения по двойной связи углерод-углерод:
Реакции нуклеофильного присоединения более распространены для тройных, чем для двойных связей[1].
Реакции нуклеофильного присоединения по связи углерод-углерод
Нуклеофильное присоединение по кратной связи обычно двухстадийный процесс AdN2 — реакция бимолекулярного нуклеофильного присоединения (англ. addition nucleophilic bimolecular)[2]:
Нуклеофильное присоединение по связи С=C встречается достаточно редко, и, как правило, если в соединении имеются электроноакцепторные заместители[3]. Наибольшее значение имеет в этом классе реакция Михаэля[4]:
Присоединение по тройной связи аналогично присоединению по связи С=C:
Реакции нуклеофильного присоединения по связи углерод-гетероатом
Нуклеофильное присоединение по кратной связи углерод-гетероатом имеет механизм AdN2:
Как правило, лимитирующей стадией процесса является нуклеофильная атака, электрофильное присоединение происходит быстро[1].
Иногда продукты присоединения вступают в реакцию отщепления, тем самым совокупно давая реакцию замещения:
Hуклеофильное присоединение по связи С=O очень распространено, что имеет большое практическое промышленное и лабораторное значение[3].
1. Альдольная конденсация.
2. Сложноэфирная конденсация.
3. Реакция Гриньяра.
4. Реакция Реформатского.
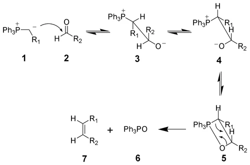
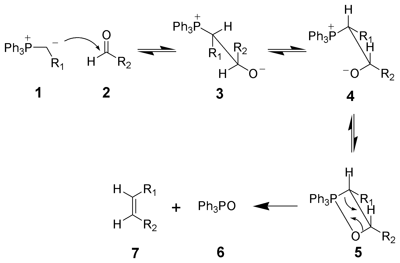
6. Реакция Виттига.
7. Бензоиновая конденсация.
1. Реакция Торпа.
2. Присоединение циановодорода.
3. Реакция Уги.











