Реакция Аппеля

Реакция Аппеля — метод синтеза алкилхлоридов и алкилбромидов из спиртов при их взаимодействии с четырёххлористым либо четырёхбромистым углеродом и трифенилфосфином:

В случае вторичных спиртов реакция сопровождается обращением конфигурации карбинольного центра.

Введена в синтетическую практику в 1970-е годы Рольфом Аппелем[1].

Механизм реакции

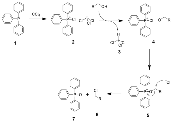
В основе реакции Аппеля лежит галогенофильная реакция фосфина с тетрагалогенметаном. На первой стадии происходит нуклеофильное замещение у атома галогена тетрагалогенметана трихлорметильной или трибромметильной группы, уходящей в виде карбаниона, фосфином 1, при этом образуется аддукт — псевдофосфониевая соль 2. Тригалогенметильный карбанион депротонирует спирт с образованием галоформа 3, после чего происходит нуклеофильное замещение галогена псевдофосфониевой соли 4 алкоголят-анионом с образованием соли 5.

На последней стадии происходит нуклеофильная атака галогенид-иона на углерод псевдофосфониевой соли 5, при этом нуклеофильное замещение, ведущее к отщеплению фосфиноксида 7 и образованию алкилгалогенида 6, идет по механизму SN2, что обуславливает инверсию конфигурации у карбинольного углерода:

Appel Reaction Mechanism.png

Движущей силой последней стадии реакции является образование фосфиноксида, являющегося очень хорошей уходящей группой в силу стабильности и высокой (~544 кДж/моль) энергии образования связи P=O.

Применимость и модификации

Главным преимуществом реакции Аппеля является мягкость и нейтральные условия проведения, что позволяет проводить замену гидроксила на галоген в чувствительных к кислотным условиям спиртах: так, например, превращение гераниола в геранилхлорид действием хлороводорода, тионилхлорида либо хлоридов фосфора ведет к изомеризации и получению трудноразделяемой смеси геранил- и линалилхлорида, реакция Аппеля лишена этих недостатков. Основным недостатком реакции Аппеля является необходимость отделения целевого продукта от фосфиноксида, образующегося в стехиометрических количествах, «жесткие» методы разделения, например, дистилляция при достаточно высоких температурах, могут вести к изомеризации или рацемизации термически лабильных галогенидов, а многократная перекристаллизация — к потерям целевого продукта[2].

В классическом варианте реакции Аппеля используются четыреххлористый углерод или тетрабромметан в сочетании с коммерчески доступным трифенилфосфином, при этом к раствору спирта в четырёххлористом углероде (либо раствору спирт-четыреххлористый углерод в инертном растворителе) прибавляется трифенилфосфин; такой порядок проведения реакции позволяет вводить псевдофосфониевую соль Ph3P+Hal•Hal3C- по мере её образования и избежать её дальнейшего диспропорционирования, ведущего к снижению выхода алкилгалогенида[2]:

Отделение трифенилфосфиноксида производится его высаждением из реакционной смеси соответствующим растворителем, в случае неполярных алкилгалогенидов — н-пентаном.

Выходы в этой варианте проведения реакции от высоких до почти количественных (75 % для хлор- и до 97 % для бромпроизводных).

Использование алифатических фосфинов (например, трибутилфосфина), более нуклеофильных, чем трифенилфосфин, позволяет проводить реакцию в более мягких условиях.


Примечания