Метод БЭТ
Метод БЭТ (англ. BET method) — метод математического описания физической адсорбции, основанный на теории полимолекулярной (многослойной) адсорбции.
Описание
Метод предложен Брунауэром, Эмметом и Теллером. В нём используются следующие допущения: поверхность адсорбента однородна; взаимодействие адсорбент–адсорбат сильнее, чем адсорбат—адсорбат; взаимодействие адсорбированных молекул учитывается только в направлении, перпендикулярном поверхности, и рассматривается как конденсация.
Линейная форма изотермы адсорбции (уравнения БЭТ) имеет вид:
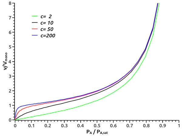
где — отношение давления в системе к давлению конденсации, — величина адсорбции, — объем монослоя на поверхности адсорбента, C — отношение констант адсорбционного равновесия в первом слое и константы конденсации.
Основной практической целью применения метода БЭТ является нахождение площади поверхности пористого твердого тела. Для этого получают экспериментальную зависимость адсорбции от давления при постоянной температуре (изотерма адсорбции), после чего по уравнению БЭТ вычисляют величину и, затем, число молекул в монослое. Зная площадку, занимаемую одной молекулой, можно рассчитать суммарную площадь поверхности адсорбента любой формы и пористости. Принято считать, что метод БЭТ можно использовать для определения площади поверхности с точностью 5—10% в интервале значений относительного давления () 0,05—0,35. Для более детального анализа пористой структуры твёрдого тела (вычисление доли пор различного диаметра в общей пористой структуре) по изотермам адсорбции используют дополнительные расчётные модели (например, метод BJH).
Литература
- Брунауэр С. Адсорбция газов и паров. Т. 1. — М.: ИЛ, 1948. — 783 с.
- Карнаухов А.П. Адсорбция. Текстура дисперсных и пористых материалов. — Новосибирск: Наука, 1999. — 470 с.
- Полторак О.М. Термодинамика в физической химии. — М.: Высшая школа, 1991. — 319 с.
Ссылки
При написании этой статьи использовался материал из распространяющейся по лицензии Creative Commons BY-SA 3.0 Unported статьи:
Смирнов Андрей Валентинович, Толкачев Николай Николаевич. метод БЭТ // Словарь нанотехнологических терминов.


