Мезосоединения
Мезосоединения (мезоформы) — ахиральные, оптически неактивные члены ряда стереоизомеров, который также включает один или более хиральных членов[1][2]. Это означает, что несмотря на наличие нескольких элементов хиральности, например, асимметрических атомов, молекула мезосоединения в целом не является хиральной. Это связано с наличием у неё плоскости симметрии.
Из-за наличия внутренней симметрии мезосоединения совпадают со своим отражением, т. е. являются ахиральными. Это приводит к тому, что в ряду стереоизомеров молекулы одна пара энантиомеров вырождается в мезоформу.
Также мезосоединения не обладают оптической активностью. В отличие от рацематов, которые также не вращают плоскость поляризации света, мезосоединения являются индивидуальными веществами и не могут быть разделены на отдельные энантиомеры.
Примеры
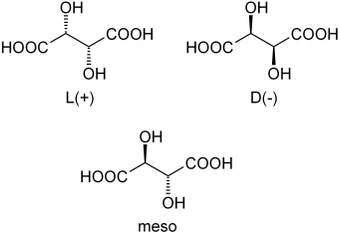
Молекула винной кислоты имеет два асимметрических атома углерода, каждый из которых может иметь один из двух вариантов конфигурации. Соответственно, различные комбинации конфигураций стереоцентров должны привести к существованию четырёх стереоизомеров винной кислоты. На самом деле, из-за существования в молекуле плоскости симметрии, два энантиомера пространственно совпадают друг с другом, т. е. являются одним и тем же стереоизомером. Такой стереоизомер называется мезовинной кислотой[3].
Циклические соединения также могут существовать в виде мезоформ. Например, 1,2-дизамещённые циклопропаны, имеющие транс-конфигурацию, являются энантиомерами, а цис-изомер является мезоформой и совпадает со своим отражением.
Примечания
Литература
- Потапов В. М. Стереохимия. — М.: Химия, 1988. — ISBN 5-7245-0376-X.




