Фосфорен
| Фосфорен | |
|---|---|
| Общие | |
| Наименование | Фосфорен |
| Традиционные названия | Монослой фосфора |
| Методы получения | Механическое расщепление[1][2] |
| Структура | |
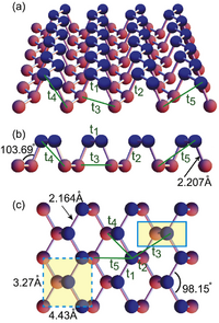
| Кристаллическая структура | Орторомбическая решётка[3] |
| Постоянная решётки | [0,44, 0,33] нм[3] |
| Химические свойства | |
| Химическая формула | Pn |
| Известные соединения | |
| Электронные свойства | |
| Эффективная масса электронов | 0,26m0[3] |
| Эффективная масса дырок | 0,34m0[3] |
| Зонная структура | |
| Проводящие свойства | Полупроводник[3] |
| Ширина запрещённой зоны | 1,75 эВ[3] |
Фосфорен — двумерная аллотропная модификация фосфора, которая получается из чёрного фосфора разделённого на моноатомные слои. Структура фосфорена похожа на более известное соединение — графен, что нашло отражение в названии. В отличие от графена фосфорен является полупроводником с запрещённой зоной равной 1,75 эВ[3]. Впервые фосфорен получен в 2014 году методом механического расщепления[1][2]. Графен и фосфорен единственные стабильные простые вещества которые можно получить расщепляя трёхмерные кристаллы[2].
Транспортные измерения образцов, осаждённых на окисленную кремниевую подожку, показали что фосфорен обладает анизотропной проводимостью, а именно эффективная масса электрона зависит от направления его движения в кристалле. Фосфорен обладает p-типом проводимости, что позволило реализовать CMOS инвертор на фосфорене и транзисторе n-типа сделанным из MoS2[2].
Примечания
Литература
- Xia F., Wang H., Jia Y. Rediscovering black phosphorus as an anisotropic layered material for optoelectronics and electronics (англ.) // Nature Communications : journal. — Nature Publishing Group, 2014. — Vol. 5. — P. 4458. — doi:10.1038/ncomms5458. — arXiv:1402.0270.
- Liu H., Neal A. T., Zhu Z., Luo Z., Xu X., Tománek D., Ye P. D. Phosphorene: An Unexplored 2D Semiconductor with a High Hole Mobility (англ.) // ACS Nano (journal) : journal. — 2014. — Vol. 8, no. 4. — P. 4033. — doi:10.1021/nn501226z. — arXiv:1401.4133.
- Li P., Appelbaum I. Electrons and holes in phosphorene (англ.) // Physical Review B : journal. — 2014. — Vol. 90, no. 11. — P. 115439. — doi:10.1103/PhysRevB.90.115439. — arXiv:1408.0770.
- Castellanos-Gomez A. V. et. al. Isolation and characterization of few-layer black phosphorus (англ.) // Two-dimensional materials : journal. — 2014. — Vol. 1. — P. 025001. — doi:10.1088/2053-1583/1/2/025001.
- Li L. et. al. Black phosphorus field-effect transistors (англ.) // Nature Nanotechnology : journal. — 2014. — Vol. 9, no. 5. — P. 372—377. — doi:10.1038/nnano.2014.35. — arXiv:1401.4117.
- Qiao J., Kong X., Hu Z.-X., Yang F., Ji W. High-mobility transport anisotropy and linear dichroism in few-layer black phosphorus (англ.) // Nature Communications : journal. — Nature Publishing Group, 2014. — Vol. 5. — P. 4475. — doi:10.1038/ncomms5475. — arXiv:1401.5045.
- Rodin A. S., Carvalho A., Castro Neto A. Strain-Induced Gap Modification in Black Phosphorus (англ.) // Physical Review Letters : journal. — 2014. — Vol. 112, no. 17. — P. 176801. — doi:10.1103/PhysRevLett.112.176801. — arXiv:1401.1801.
- Low T., Roldan R. et. al. Plasmons and Screening in Monolayer and Multilayer Black Phosphorus (англ.) // Physical Review Letters : journal. — 2014. — Vol. 113. — P. 106802. — doi:10.1103/PhysRevLett.113.106802. — arXiv:1404.4035.
- Low T., Engel M. et. al. Origin of photoresponse in black phosphorus phototransistors (англ.) // Physical Review B Rapid : journal. — 2014. — Vol. 90. — P. 081408. — doi:10.1103/PhysRevB.90.081408. — arXiv:1407.7286.
- Low T., Rodin A. S., Carvalho A., Jiang Y., Wang H., Xia F., Castro Neto A. H. Tunable optical properties of multilayer black phosphorus thin films (англ.) // Physical Review B : journal. — 2014. — Vol. 90. — P. 075434. — doi:10.1103/PhysRevB.90.075434. — arXiv:1404.4030.
- Zhu Z., Tomanek D. Semiconducting layered blue phosphorus: A computational study (англ.) // Physical Review Letters (journal) : journal. — 2014. — Vol. 112, no. 17. — P. 176802. — doi:10.1103/PhysRevLett.112.176802.
- Reich S. E. Phosphorene excites materials scientists (англ.) // Nature : journal. — 2014. — Vol. 506, no. 19. — P. 19. — doi:10.1038/506019a.
- Island J. O., Steele G. A., van der Zant H. S. J., Castellanos-Gomez A. Environmental instability of few-layer black phosphorus (англ.) // Two-dimensional materials : journal. — 2015. — Vol. 2. — P. 011002. — doi:10.1088/2053-1583/2/1/011002.