Способы записи алгоритма (словесный, в виде блок-схемы, программа)
Способы записи алгоритма — это различные методы представления алгоритмов, позволяющие описать последовательность действий для решения задач. Выбор способа зависит от цели, аудитории и уровня детализации алгоритма.
Основные формы представления алгоритмов
- Словесная (вербальная) форма: описание алгоритма на естественном языке. Этот способ интуитивен и используется для первоначальной формулировки идеи.
- Алгоритмический язык:
На языке программирования: алгоритм записывается в виде программы, понятной компьютеру. Примеры языков: Python, Java, C++. На псевдокоде: упрощённая запись алгоритма без синтаксических деталей конкретного языка программирования.
- Машинный код: низкоуровневое представление алгоритма в виде команд, понятных процессору ЭВМ.
- Математическая нотация: использование математических формул и символов для описания алгоритмических шагов.
- Схематическая форма:
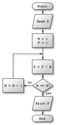
Графическая: визуальное представление с помощью блок-схем или ДРАКОН-схем, отображающих поток управления и последовательность операций. Структурограммы: использование диаграмм Насси-Шнейдермана для отображения структурного подхода к программированию через вложенные блоки.
Примеры
Блок-схемы помогают визуализировать алгоритм, показывая этапы выполнения и условия переходов между ними с помощью стандартных графических символов.
Пример алгоритма сортировки массива в псевдокоде:
Процедура BubbleSort(массив A, целое N)
Для i ← 0 до N - 2
Для j ← 0 до N - i - 2
Если A[j] > A[j + 1] тогда
Обмен(A[j], A[j + 1])
Конец процедурыЗаключение
Различные способы записи алгоритмов позволяют выбирать наиболее подходящий метод для конкретной ситуации. Словесное описание удобно для общего понимания, программный код необходим для реализации и выполнения на компьютере, а графические схемы облегчают визуальное восприятие структуры алгоритма. Правильный выбор формы представления способствует эффективной разработке и обмену алгоритмическими решениями.
Литература
- Босова Л. Л., Босова А. Ю. Информатика: учебник для 9 класса. — М.: БИНОМ. Лаборатория знаний, 2013.
- Семакин И. Г., Залогова Л. А., Русаков С. В., Шестакова Л. В. Информатика: учебник для 9 класса. — М.: БИНОМ. Лаборатория знаний, 2015. — Т. 3-е изд..
- Поляков К. Ю., Еремин Е. А. Информатика. 9 класс. — М.: БИНОМ. Лаборатория знаний, 2017.
- Угринович Н. Д. Информатика и ИКТ: учебник для 9 класса. — М.: БИНОМ. Лаборатория знаний, 2012. — Т. 6-е изд..




