Орелланин
Ореллани́н — опасный микотоксин. Поражает почки, опорно-двигательный аппарат и органы дыхания. Время поражения организма человека может длиться до 12-14 дней, поэтому точное определение времени отравления довольно затруднительно.
Наиболее известные грибы с содержанием орелланина — паутинник горный (Cortinarius orellanus) и паутинник красивейший (Cortinarius rubellus).
Что важно знать
| Орелланин | |
|---|---|
| Общие | |
| Систематическое наименование |
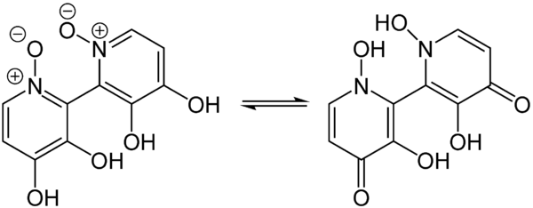
3,3',4,4'-тетрагидрокси-2,2'-бипиридин-N,N'-диоксид |
| Хим. формула | C10H8N2O6 |
| Физические свойства | |
| Молярная масса | 252,17 г/моль |
| Термические свойства | |
| Температура | |
| • кипения | 257,4 °C |
| Классификация | |
| Рег. номер CAS | 37338-80-0 |
| 3D model (JSmol) | Интерактивная схема |
| PubChem | 89579 |
| UNII | 082U1GSX3D |
| CompTox Dashboard EPA | DTXSID30894757 |
| Рег. номер EINECS | 805-586-9 |
| SMILES | |
| InChI | |
| ChEBI | 190273 |
| ChemSpider | 10266115 |
| ECHA InfoCard | 100.232.424 |
| Безопасность | |
| ЛД50 | 9–90[1][2][3] |
Примечания
Ссылки
- Статьи с доступной полнотекстовой версией по орелланину и/или грибам Cortinarius orellanus (англ.). National Center for Biotechnology Information, U.S. National Library of Medicine. Дата обращения: 13 августа 2013.
- Orellanine — Compound Summary (англ.). National Center for Biotechnology Information, U.S. National Library of Medicine. Дата обращения: 13 августа 2013.


