Дерматансульфат
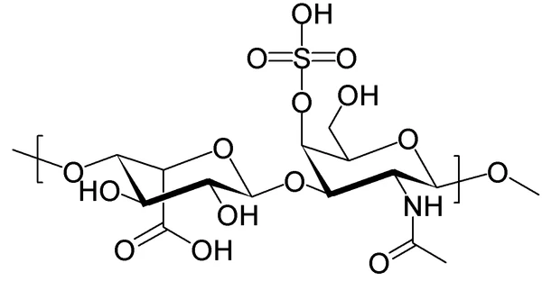
Дерматансульфат — гликозаминогликан (ранее называвшийся мукополисахаридом), обнаруживаемый в основном в коже, но также и в кровеносных сосудах, сердечных клапанах, сухожилиях и лёгких. Его также называют хондроитинсульфатом B, хотя в большинстве источников он больше не классифицируется как форма хондроитинсульфата. Полимер состоит из дисахаридных звеньев, которые содержат N-ацетилгалактозамин, и представляет собой изомер хондроитин-4-сульфата, в который вместо остатков D-глюкуроновой кислоты входят остатки L-идуроновой кислоты, однако абсолютная конфигурация связей остаётся той же самой[1].
Что важно знать
| Дерматансульфат | |
|---|---|
| Общие | |
| Хим. формула | C14H21NO15S |
| Физические свойства | |
| Молярная масса | 475.37 г/моль |
| Классификация | |
| Рег. номер CAS | 24967-94-0 |
| PubChem | 3032806 |
| UNII | 73S257UH1S и J3OC7JVS54 |
| CompTox Dashboard EPA | DTXSID40179683 |
| Рег. номер EINECS | 246-552-8 |
| ChEBI | ChEMBL1909290 |
| ChemSpider | 30361 |
| ECHA InfoCard | 100.042.305 |
Биологическая роль
Биологическая роль дерматансульфата мало изучена. Может играть роль в коагуляции, патогенезе сердечно-сосудистых заболеваний, формировании раковых опухолей, инфекционных заболеваниях, заживлении ран и фиброзе[2].


